Предмет: Математика,
автор: rollezz
70 баллов! Халява! Простенькое интегрирование.
Приложения:
Ответы
Автор ответа:
1
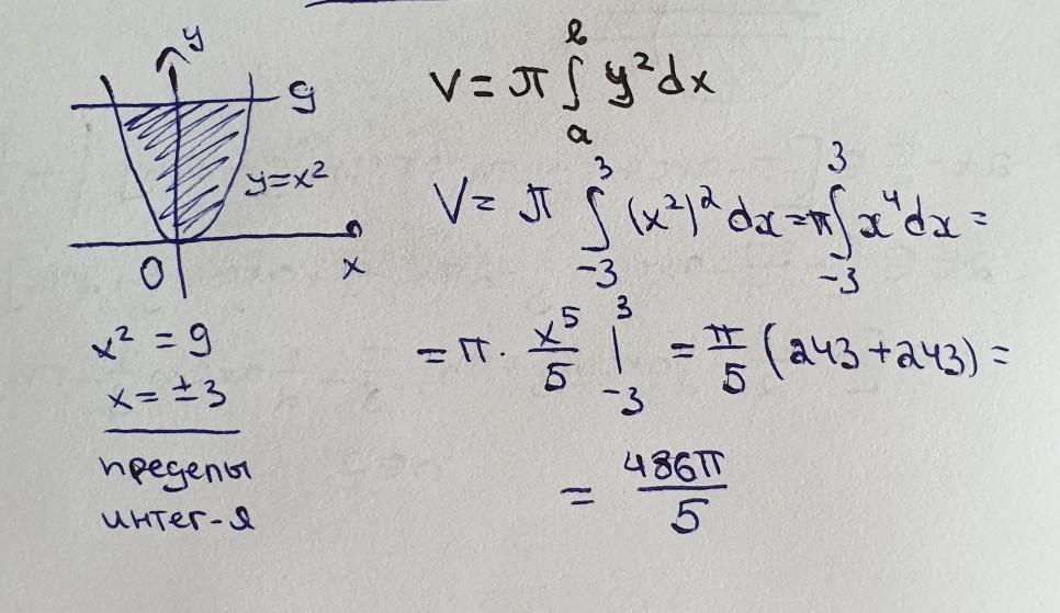
Ответ:
решение на фотографии.
Приложения:
Похожие вопросы
Предмет: Английский язык,
автор: margoshetinina1
Предмет: Русский язык,
автор: Kristiklive1
Предмет: Қазақ тiлi,
автор: lanabayts
Предмет: История,
автор: kksksjdjdsenya