Предмет: Алгебра,
автор: Polinka182727
ПОМОГМТЕ СРОЧНО РЕШИТЬ ЭТОТ ПРИМЕР НЕlp
Приложения:
Polinka182727:
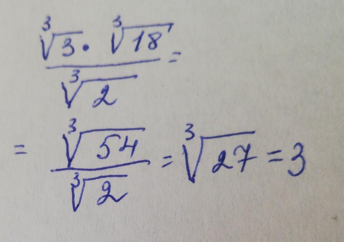
Найдите значение выражения
Ответы
Автор ответа:
1
Ответ:
Смотри решение на фото
Приложения:
От души
Похожие вопросы
Предмет: Английский язык,
автор: tgfyhtr6y6t54
Предмет: Қазақ тiлi,
автор: naz220202
Предмет: Қазақ тiлi,
автор: svetlamixs
Предмет: Английский язык,
автор: kolbaniks
Предмет: Окружающий мир,
автор: Аноним