Предмет: Алгебра,
автор: Hdjefjdjdj
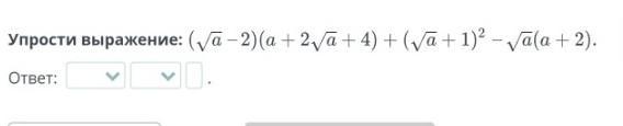
Упрости выражение:плииииз
Приложения:
Ответы
Автор ответа:
0
Ответ: a - 7.
Объяснение:
√a³ - 8 + a + 2√a + 1 - √a³ - 2√a = a - 7
Hdjefjdjdj:
Правильно
Спасибо вам большое
Не за что.
помогите пожалуйста
Похожие вопросы
Предмет: Русский язык,
автор: ladylinawolf
Предмет: Русский язык,
автор: vantania
Предмет: Русский язык,
автор: leraboldina20
Предмет: Литература,
автор: Аноним
Предмет: Українська мова,
автор: чарывна