Предмет: Алгебра,
автор: Karrilykafrjbxf
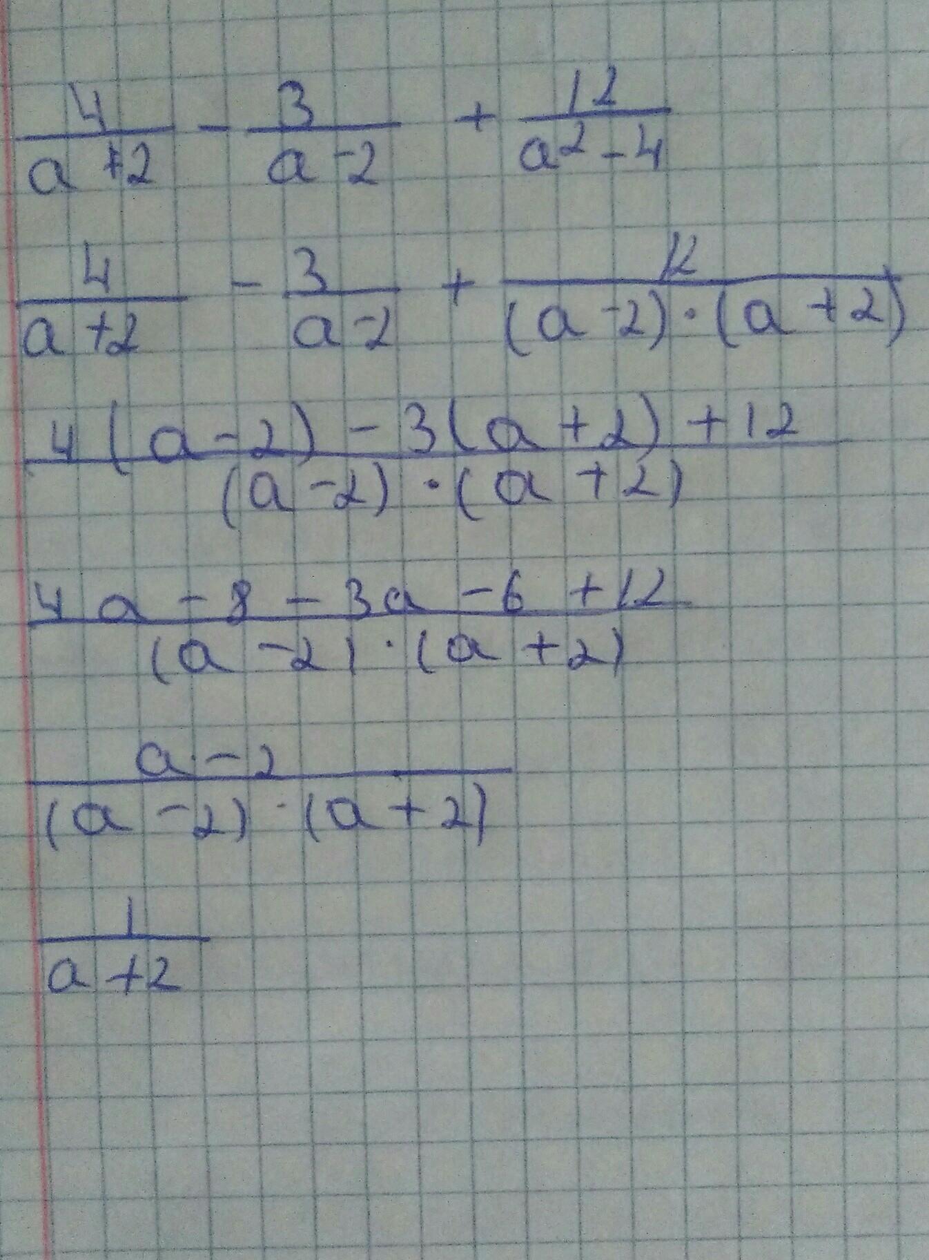
Упрости выражение:
4/a+2 - 3/a-2 + 12/a^2-4
Ответы
Автор ответа:
0
Ответ:
Надеюсь помогла
Удачи
Приложения:
Похожие вопросы
Предмет: Английский язык,
автор: emilpeleng
Предмет: Русский язык,
автор: Аноним
Предмет: Қазақ тiлi,
автор: alex112002
Предмет: Геометрия,
автор: polinafirsova1
Предмет: Обществознание,
автор: никуся57