Предмет: Физика,
автор: darkt0mato
СРОЧНО! ДАЮ 35!
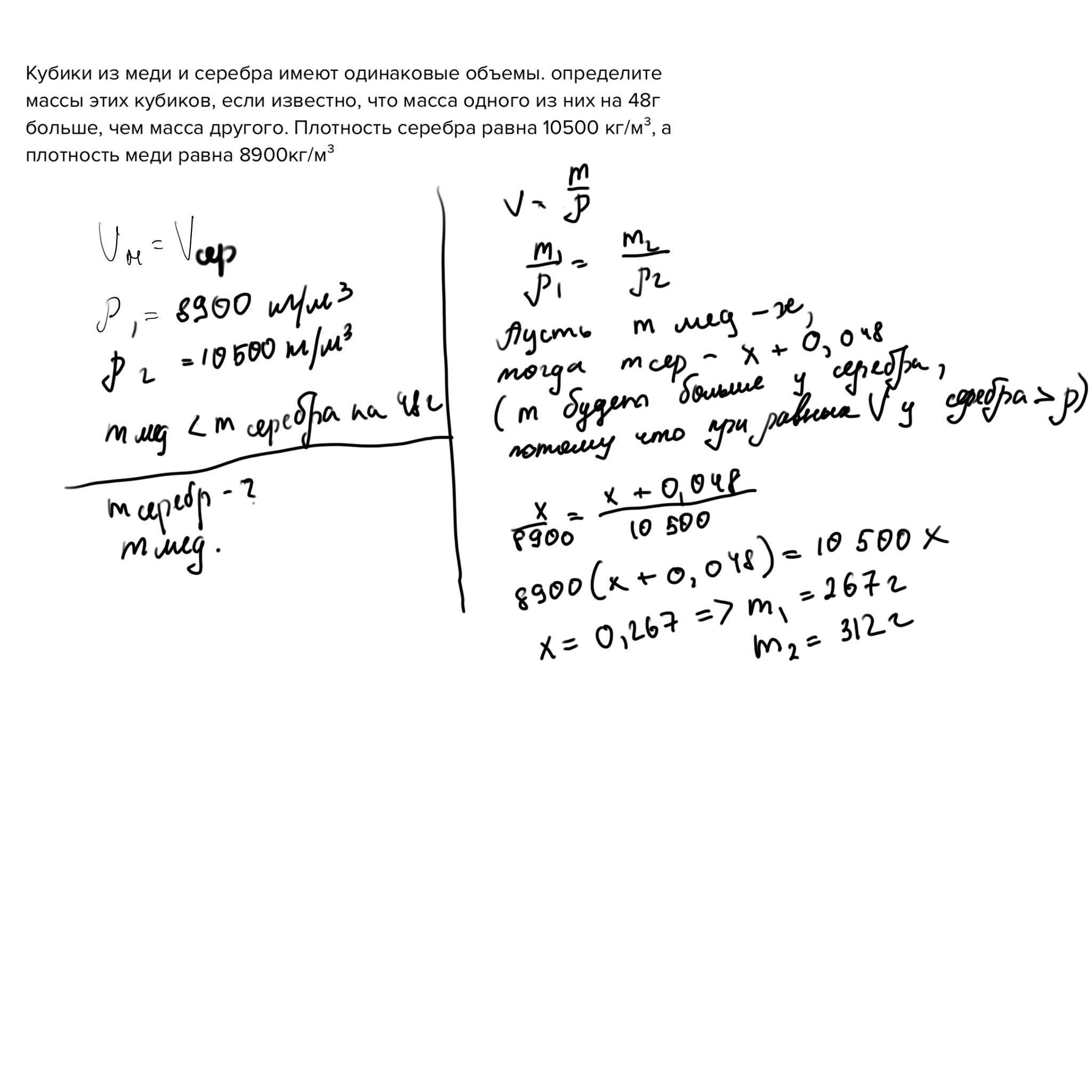
Кубики из меди и серебра имеют одинаковые объемы. определите массы этих кубиков, если известно, что масса одного из них на 48г больше, чем масса другого. Плотность серебра равна 10500 кг/м³, а плотность меди равна 8900кг/м³
Ответы
Автор ответа:
0
Ответ:
см фото
Объяснение:
Приложения:
aliya251:
Ничего не поняла:(
почерк непонятный?
Похожие вопросы
Предмет: Русский язык,
автор: jcogxitzyfoywyxlhp
Предмет: Русский язык,
автор: Ярославна051
Предмет: Русский язык,
автор: vika12mailru
Предмет: Другие предметы,
автор: Аноним
Предмет: Қазақ тiлi,
автор: nuri82821