Предмет: Информатика, автор: 9thUnknown

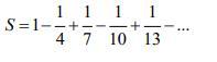
Паскаль. Используя оператор цикла с постусловием, составить программу вычисления суммы с заданной точностью:

Приложения:

Ответы

Автор ответа: alexlar30
0

Ответ:

Объяснение:

const eps = 0.0001; // Точность

var

  denom, step: integer;

  s, s1: real;

begin

    {Начальные значения}

    s := 1;

    s1:= 1;

    denom := 1;

    step := 3;

    // Вычисление суммы

    repeat

        s1 := s;  // Сохранить предыдущее значение

        denom := denom + step; // Увеличить знаменатель

        if (denom mod 2) = 0 then

           // Если четный знаменатель, вычитаем

           s := s - 1/denom

        else

            // Если нечетный знаменатель, складываем

            s := s + 1/denom;

    until (abs(s - s1) <= eps); // Проверка на точность

   // Вывод в консоль

    writeln('s =', s : 10: 8, '  s1 =', s1 : 10: 8, '  denom =', denom:10);

    readln();  // удержимаем консоль

end.

Похожие вопросы
Предмет: Алгебра, автор: настюха339