Предмет: Алгебра,
автор: valeriabirukova05
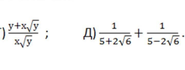
Освободите от иррациональности в знаменателе
Приложения:
Ответы
Автор ответа:
0
Ответ:
г) = (у√у+ху)/ху
д) = (5-2√6+5+2√6)/(5²-2*6) =10/13
Похожие вопросы
Предмет: Русский язык,
автор: mariya10ha
Предмет: Русский язык,
автор: Sonya100000
Предмет: Окружающий мир,
автор: маня80
Предмет: Немецкий язык,
автор: Kei4an