Предмет: Математика, автор: kl08thnnna

Из города одновременно в противоположных направлениях выехали два автомобиля. Скорость первого автомобиля равна 82,4 км/ч, а скорость второго -76,3 км/ч. Через сколько часов расстояние между ними будет равно 111,09 км

Ответы

Автор ответа: MiroslavaMuromskaya
1

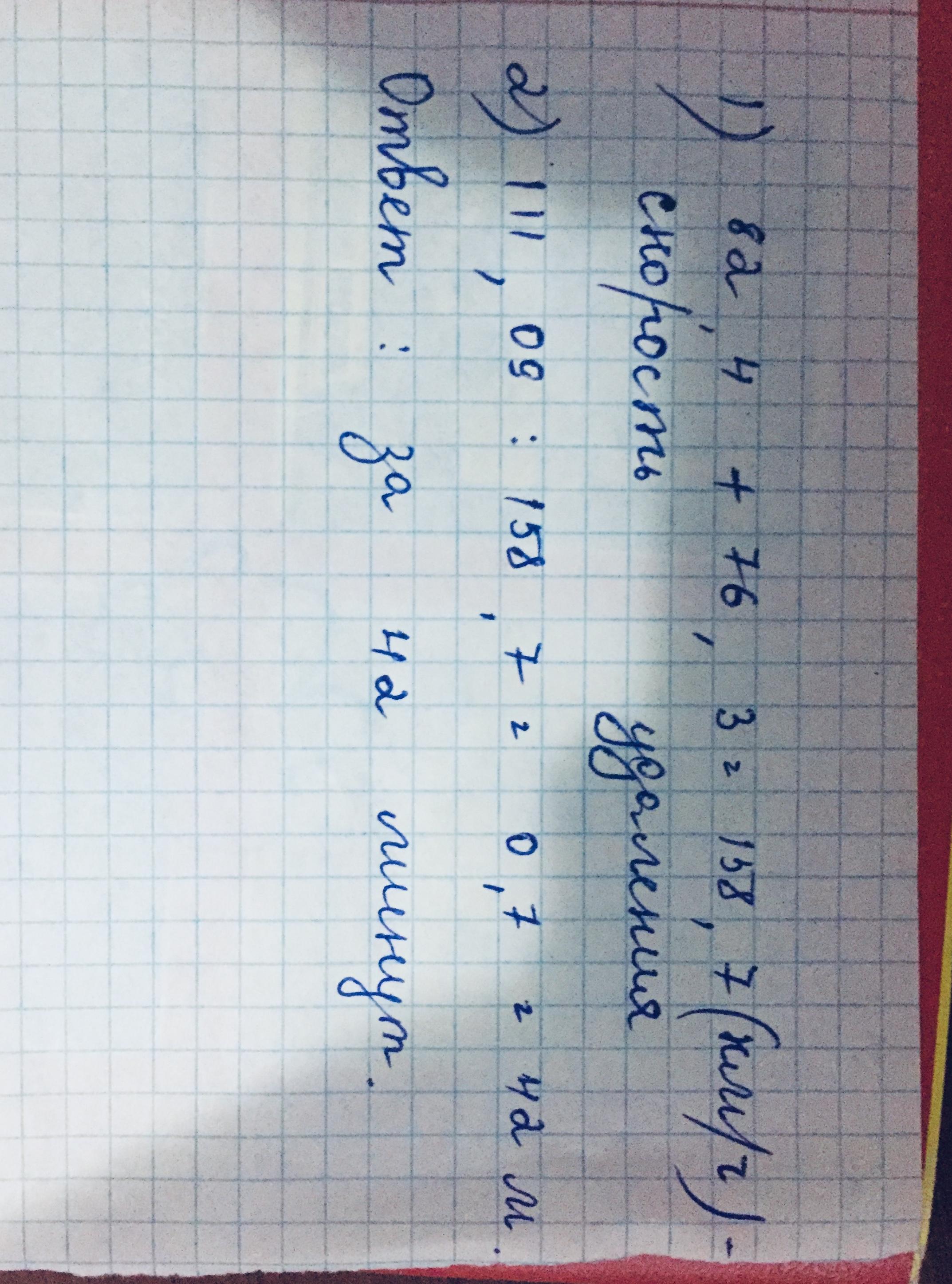
Ответ

111,09: (82,4+76,3)=0,7 часа

Пошаговое объяснение:

Автор ответа: mukham09
2

Ответ:вот

Пошаговое объяснение:

Приложения:

mukham09: сделай пожалуйста лучшим ответом
mukham09: пожалуйста
Похожие вопросы
Предмет: Русский язык, автор: викаааа8
Я сегодня сбилась с ног -
У меня пропал щенок.
Два часа его звала,
Два часа его ждала,
За уроки не садилась
И обедать не могла.

В это утро
Очень рано
Соскочил щенок с дивана,
Стал по комнатам ходить,
Прыгать,
Лаять,
Всех будить.

Он увидел одеяло -
Покрываться нечем стало.

Он в кладовку заглянул -
С мёдом жбан перевернул.

Он порвал стихи у папы,
На пол с лестницы упал,
В клей залез передней лапой,
Еле вылез
И пропал…

Может быть, его украли,
На верёвке увели,
Новым именем назвали,
Дом стеречь
Заставили?

Может, он в лесу дремучем
Под кустом сидит колючим,
Заблудился,
Ищет дом,
Мокнет, бедный, под дождём?
Я не знала, что мне делать.
Мать сказала:
- Подождём.

Два часа я горевала,
Книжек в руки не брала,
Ничего не рисовала,
Всё сидела и ждала.

Вдруг
Какой-то страшный зверь
Открывает лапой дверь,
Прыгает через порог...
Кто же это?
Мой щенок.

Что случилось,
Если сразу
Не узнала я щенка?
Нос распух, не видно глаза,
Перекошена щека,
И, впиваясь, как игла,
На хвосте жужжит пчела.
Мать сказала: - Дверь закрой!
К нам летит пчелиный рой. -

Весь укутанный,
В постели
Мой щенок лежит пластом
И виляет еле-еле
Забинтованным хвостом.
Я не бегаю к врачу -
Я сама его лечу.
Составь рассказ о пропаже щенка.с чего начиналась история
Предмет: Математика, автор: таня2163