Предмет: Алгебра,
автор: Аноним
............... ...............
Приложения:
Ответы
Автор ответа:
0
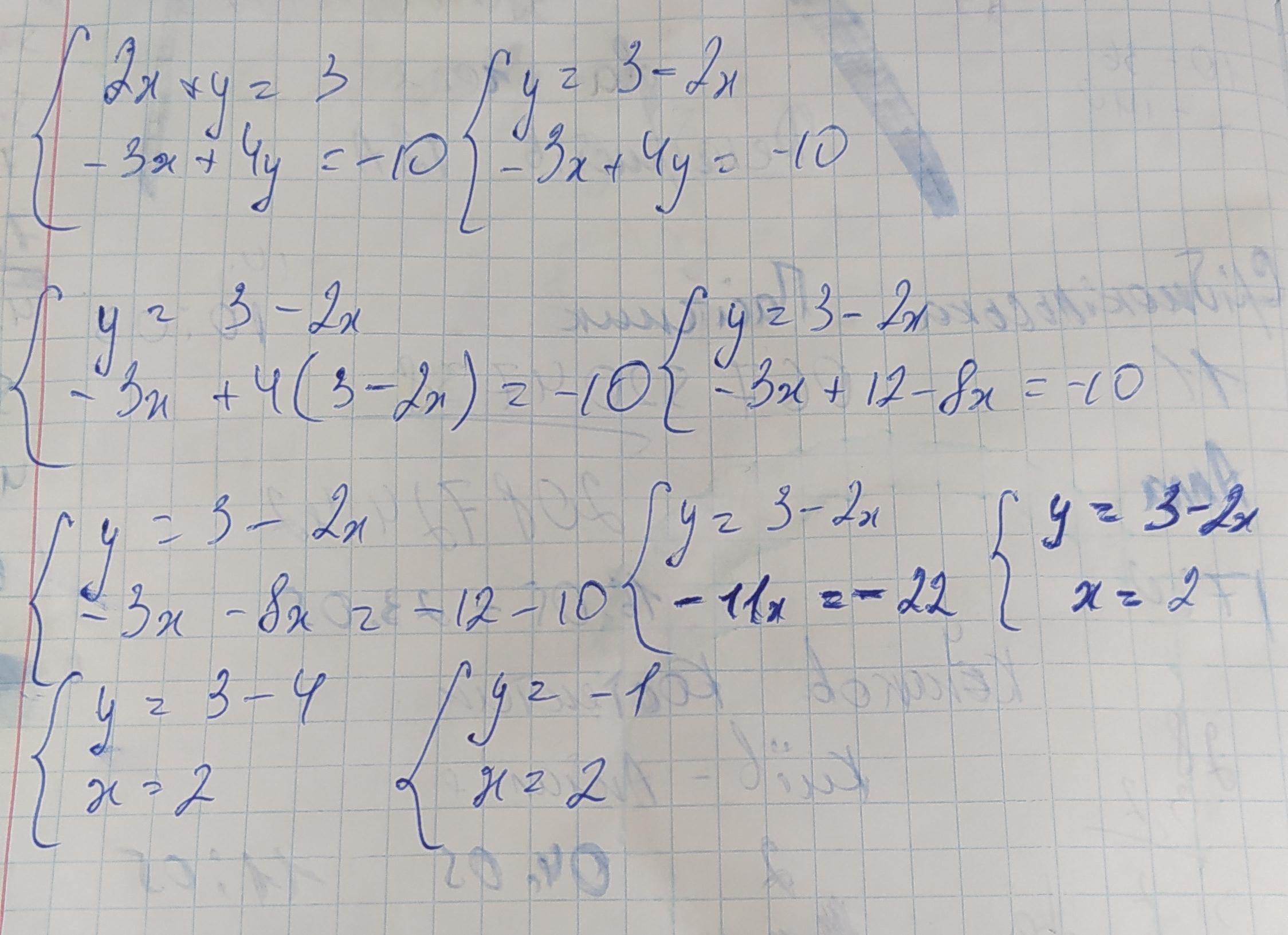
Ответ:
у=-1
х=2
Объяснение:
Приложения:
Похожие вопросы
Предмет: Қазақ тiлi,
автор: 87776600573
Предмет: Русский язык,
автор: Байденс505
Предмет: Русский язык,
автор: Аноним
Предмет: Биология,
автор: Аноним
Предмет: Литература,
автор: Алфавит33