Предмет: Алгебра,
автор: leilasaberova2007
Помогите, пожалуйста! Срочно надо! Даю 29 баллов!
Приложения:
Ответы
Автор ответа:
1
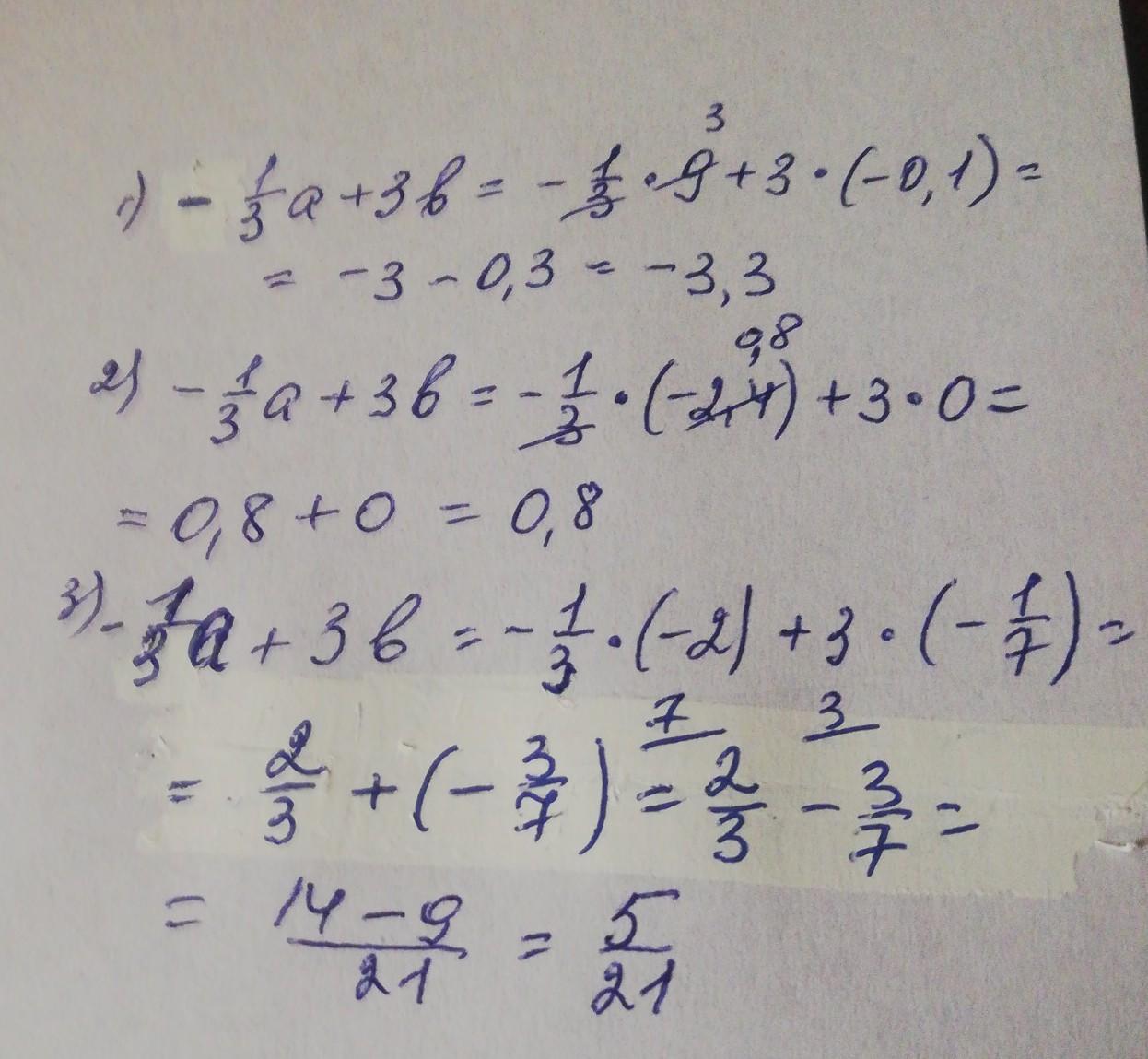
Ответ:
Смотри решение на фото
Приложения:
Похожие вопросы
Предмет: Русский язык,
автор: Ghost20022
Предмет: Английский язык,
автор: Vita2020
Предмет: Окружающий мир,
автор: kamilla212008
Предмет: Русский язык,
автор: SobakaKoshkina
Предмет: Математика,
автор: Vl23