Предмет: Алгебра,
автор: alexdyakov221
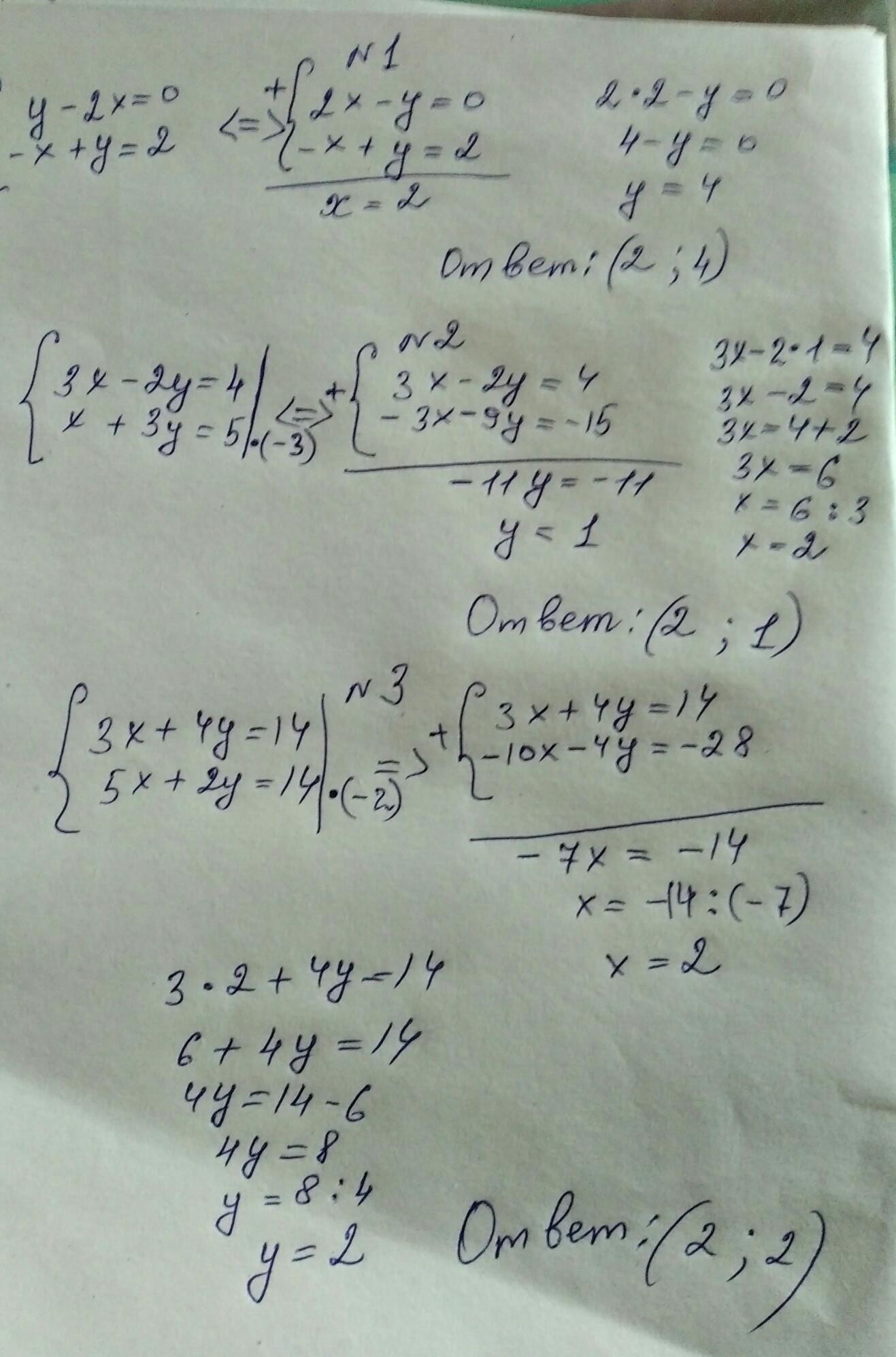
1. Решите систему линейных уравнений:
{ y - 2x = 0
{ -x + y = 2
2. Решите систему уравнений способом сложения:
{ 3x - 2y = 4
{ x + 3y = 5
3. Решите систему уравнений способом сложения:
{ 3x + 4y = 14
{ 5x + 2y = 14
4. Пять досок и шесть брусьев весят 107 кг. Четыре доски тяжелее двух брусьев на 4 кг. Сколько весит одна доска и один брус?
СРОЧНОООО
Ответы
Автор ответа:
0
Ответ:
В объяснении.
Объяснение:
Фото !!!!!!!!!!!!
Приложения:
Похожие вопросы
Предмет: Русский язык,
автор: RipRip
Предмет: Русский язык,
автор: 333333333344444
Предмет: Русский язык,
автор: alyasmirnova0
Предмет: Математика,
автор: ВладиславЮ
Предмет: Алгебра,
автор: милашка560