Предмет: Математика,
автор: taynat2018
Дайте ответ с решением пожалуйста
Приложения:
Ответы
Автор ответа:
0
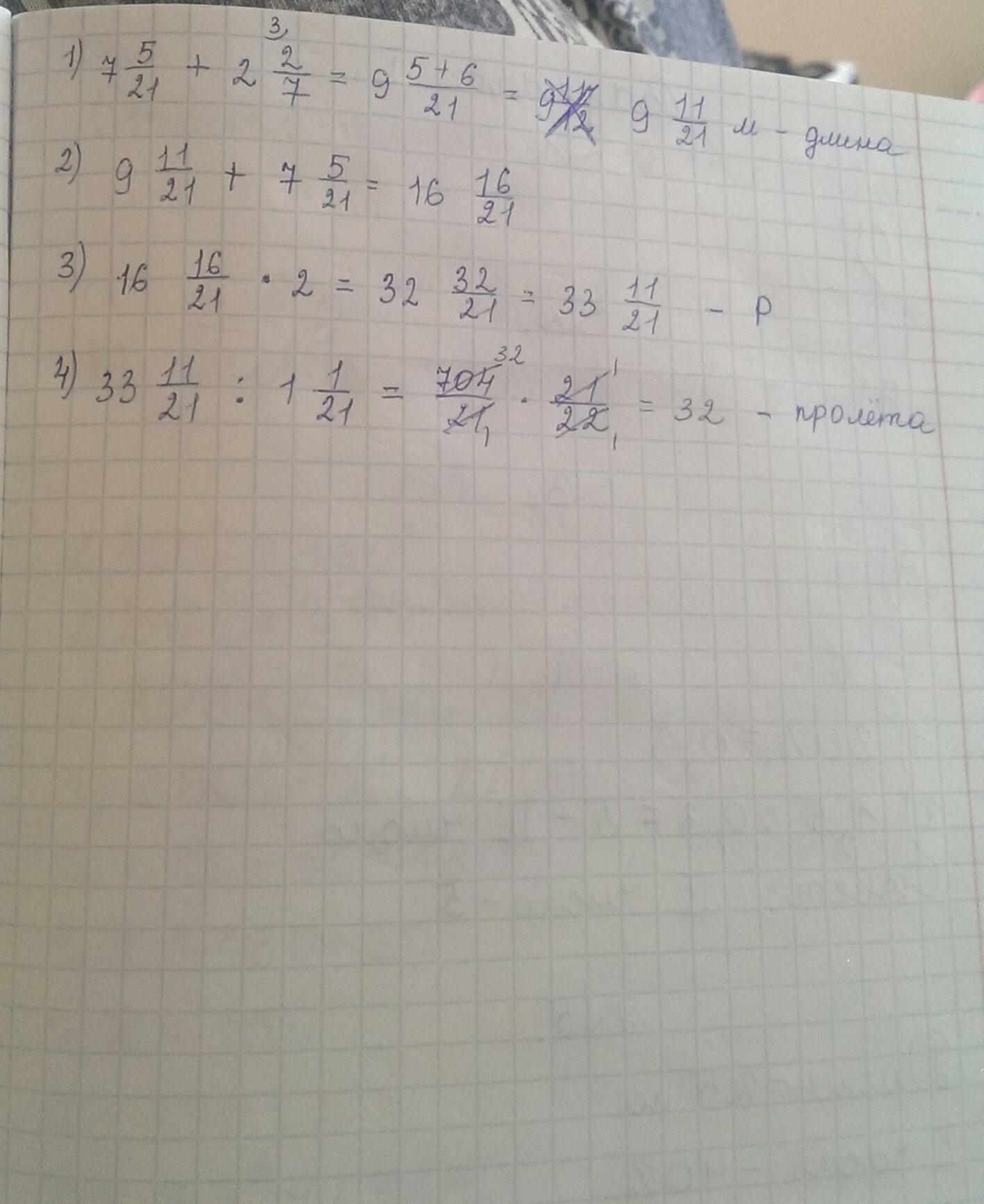
Ответ:
32 пролета
Пошаговое объяснение:
Приложения:
Похожие вопросы
Предмет: Окружающий мир,
автор: k20114004446
Предмет: Русский язык,
автор: Дерзкая6969
Предмет: Русский язык,
автор: gg592
Предмет: Алгебра,
автор: CrailMiroza