Предмет: Геометрия,
автор: lilu1312
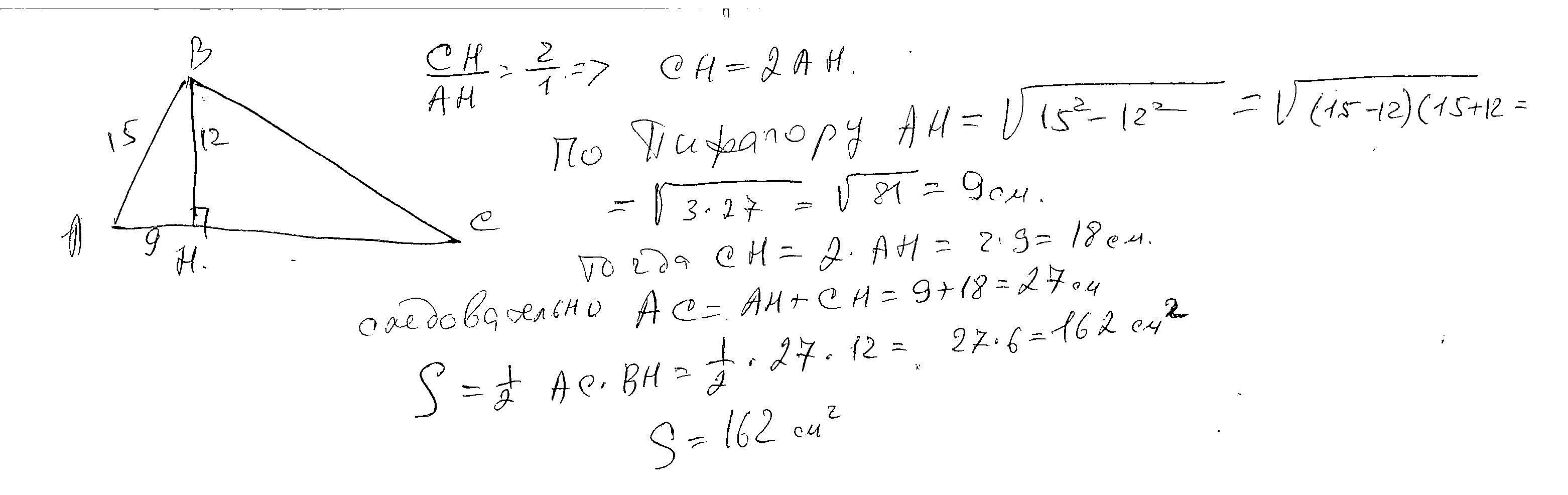
Висота трикутника завдовжки 12 см ділить основу у відношенні 1:2. Знайдіть площу трикутника, якщо менша бічна сторона 15 см. Срочно!!! Даю 30 б
Ответы
Автор ответа:
1
Ответ: 162 кв см
Объяснение:
во вложенном файле
Приложения:
lilu1312:
Спасибо, Добрый Человек!))
Удачи Вам
Похожие вопросы
Предмет: Русский язык,
автор: danechkaKozlov
Предмет: Окружающий мир,
автор: арина377
Предмет: Русский язык,
автор: VlaDa1133
Предмет: Английский язык,
автор: Аноним
Предмет: Английский язык,
автор: djfjjdjsjd