Предмет: Алгебра,
автор: evaweasley57
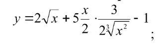
Найдите производную функции
Приложения:
Ответы
Автор ответа:
1
Ответ:
︎ ︎ ︎ ︎ ︎ ︎ ︎ ︎ ︎ ︎ ︎ ︎ ︎ ︎ ︎ ︎ ︎ ︎ ︎ ︎
︎ ︎ ︎ ︎ ︎ ︎ ︎ ︎ ︎ ︎ ︎ ︎ ︎ ︎ ︎ ︎ ︎ ︎ ︎ ︎ ︎ ︎ ︎ ︎ ︎ ︎
︎ ︎ ︎ ︎ ︎ ︎ ︎ ︎ ︎ ︎ ︎ ︎ ︎ ︎ ︎ ︎ ︎ ︎ ︎ ︎
︎ ︎ ︎ ︎ ︎ ︎ ︎ ︎ ︎ ︎ ︎ ︎ ︎ ︎ ︎ ︎ ︎ ︎ ︎ ︎ ︎ ︎ ︎ ︎ ︎ ︎
Приложения:
Похожие вопросы
Предмет: Русский язык,
автор: nikita228233
Предмет: Русский язык,
автор: Ksuna12
Предмет: Английский язык,
автор: 12уе56
Предмет: Биология,
автор: Valentinka0573
Предмет: Биология,
автор: Анастасия6742х