Предмет: Алгебра,
автор: nasdafcdfc
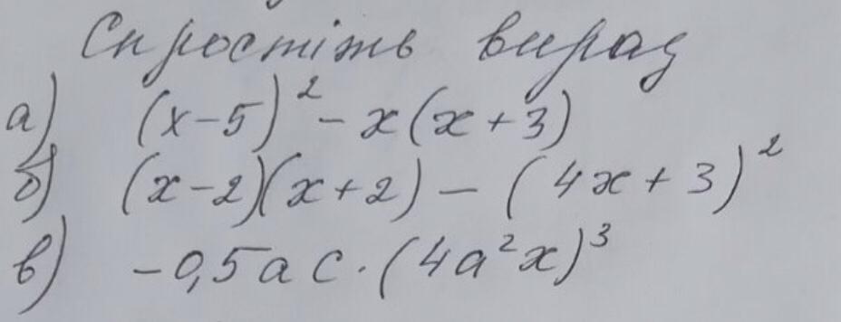
Помогите пожалуйста
Приложения:
Ответы
Автор ответа:
2
Ответ:
Объяснение:
.............
Приложения:
nasdafcdfc:
Спасибо огромное
Пожалуйста
Автор ответа:
2
Объяснение:
///////////////////////
Приложения:
Похожие вопросы
Предмет: Русский язык,
автор: Аноним
Предмет: Английский язык,
автор: Танечка154
Предмет: Русский язык,
автор: Tyan12
Предмет: Русский язык,
автор: kovrigina329
Предмет: Литература,
автор: саша4601