Предмет: Алгебра,
автор: iraserbakova65
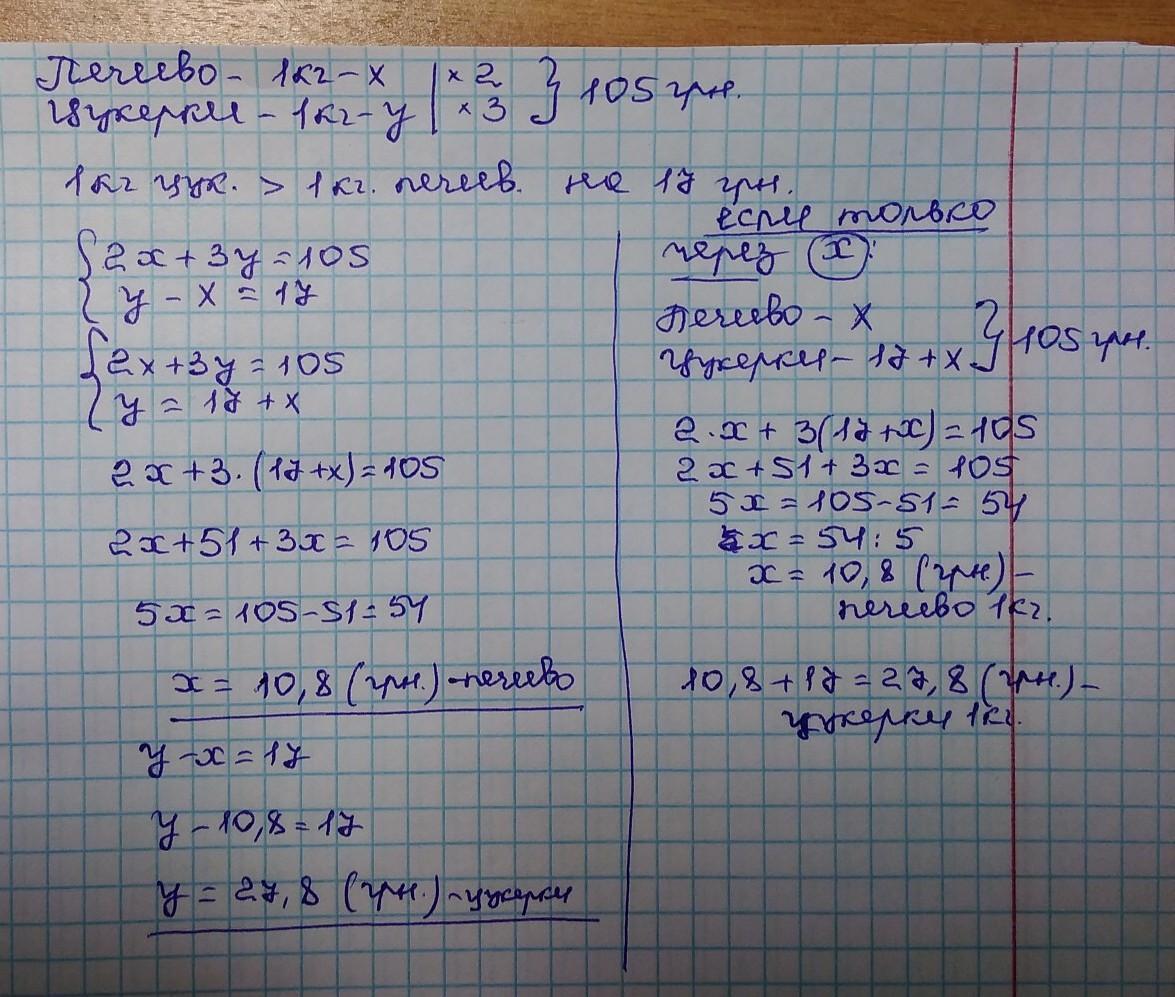
За 2 кг печива і 3 кг цукерок заплатили 105 грн.
Скільки коштує 1 кг печива і 1 кг цукерок, якщо
1 кг цукерок дорожчий від 1 кг печива на 17 грн.
СРОЧНО дам 85 БАЛЛОВ
Ответы
Автор ответа:
2
Ответ:
Ответ и решение в фото. Удачи.
Приложения:
Похожие вопросы
Предмет: Другие предметы,
автор: pogorelyy85
Предмет: Русский язык,
автор: veronikapod05
Предмет: Русский язык,
автор: ролджэ8990
Предмет: Русский язык,
автор: natali3310
Предмет: Русский язык,
автор: Elina200205