Предмет: Алгебра,
автор: Marisabel10061999
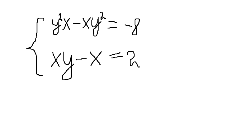
Решить систему уравнений
Приложения:
Ответы
Автор ответа:
0
Если условие верное, то первое уравнение системы
0=-8 решений не имеет, а значит и система решений не имеет.
0=-8 решений не имеет, а значит и система решений не имеет.
Похожие вопросы
Предмет: Физика,
автор: torlakg
Предмет: Математика,
автор: mmilana636
Предмет: Информатика,
автор: popovamilana
Предмет: Обществознание,
автор: 4646612166ghif
Предмет: Математика,
автор: Alex2000rus