Предмет: Алгебра,
автор: mortisvapadi
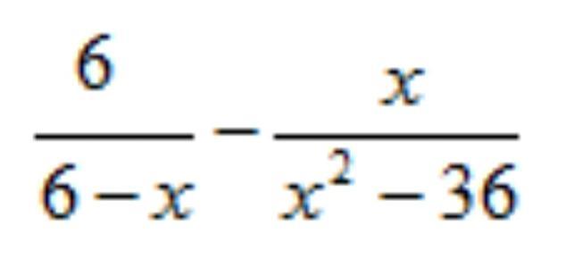
плиз помогите решить задачу
Приложения:
Ответы
Автор ответа:
0
Ответ:
может быть не правильно
Приложения:
Похожие вопросы
Предмет: География,
автор: Аноним
Предмет: Физика,
автор: Mashka0905033
Предмет: Українська мова,
автор: hodyukmaria5
Предмет: Математика,
автор: Умныйкозел
Предмет: МХК,
автор: Сайка06