Предмет: Алгебра,
автор: hoholshamil3232
пожайлуста
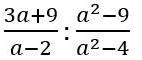
Выполните деление
Приложения:
Ответы
Автор ответа:
0
Ответ:
3(а+2)/а-3
Объяснение:
смотрите фото
Приложения:
Похожие вопросы
Предмет: Геометрия,
автор: SLADKOESHKA228
Предмет: Алгебра,
автор: adelina109
Предмет: Русский язык,
автор: птбомрт
Предмет: Английский язык,
автор: лана295
Предмет: Математика,
автор: 66den88