Предмет: Алгебра,
автор: irishkarobl13
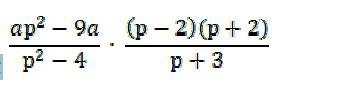
Сократите часть
Помогите пожалуйста
Приложения:
Ответы
Автор ответа:
1
а•(р-3)
Ответ будет
ар-3а
Ответ будет
ар-3а
Автор ответа:
1
Ответ:
выносим за скобку а ,получается
а(р²-9)/(р-2)(р+2) • (р-2)(р+2)/р+3=а•(р-3)(р+3)• 1/р+3= ар-3а
Похожие вопросы
Предмет: Русский язык,
автор: СашаЛегкова
Предмет: Математика,
автор: Асикон2005
Предмет: Биология,
автор: tanyatolk1
Предмет: Литература,
автор: Аноним
Предмет: Математика,
автор: Pomogite2007