Предмет: Математика,
автор: diana45218
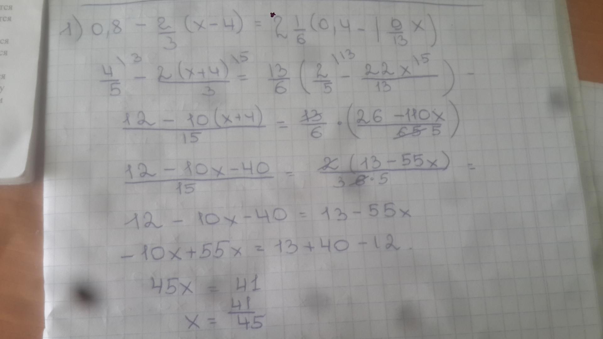
Розв’яжіть рівняння 0,8-2/3(х-4)=2 1/6(0,4-1 3/13х).
Ответы
Автор ответа:
7
Ответ:
Пошаговое объяснение:
Приложения:
Похожие вопросы
Предмет: Математика,
автор: настюшка804
Предмет: Математика,
автор: Ñĉôĥy
Предмет: Математика,
автор: дарига6
Предмет: Математика,
автор: shshdjdD
Предмет: Математика,
автор: TerminatorDi3000