Предмет: Геометрия,
автор: malicevavaleria
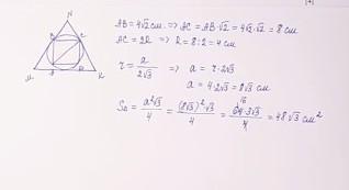
в окружность вписан квадрат со стороной 4√2 . найдите площадь правильного треугольника описанного возле этой окружность
Ответы
Автор ответа:
8
...........................
Приложения:
DashaGray0505:
ничего не видно
можешь переделать фото пожалуйста, чтобы его можно было увеличить
Похожие вопросы
Предмет: Окружающий мир,
автор: 777Larisa777
Предмет: Другие предметы,
автор: tumenevandrej
Предмет: Английский язык,
автор: Аноним
Предмет: Английский язык,
автор: danilmalavin
Предмет: Литература,
автор: ibgrandp7dygc