Предмет: Алгебра,
автор: nelligrodecka
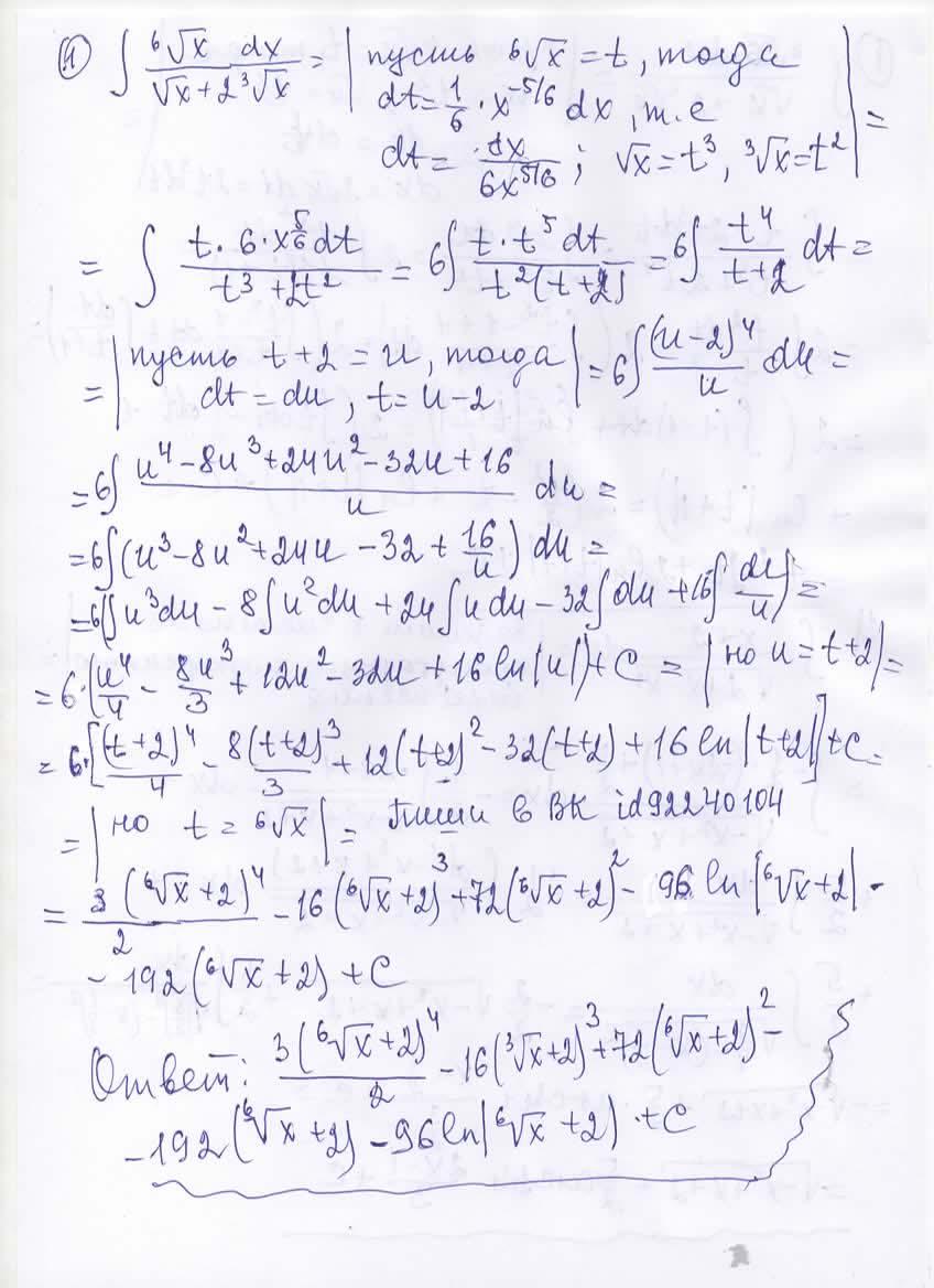
Срочнооооооооооооооооооооооооооооооооооооооооооооооооооооооооооо
Приложения:
Ответы
Автор ответа:
0
Ответ:во 2) в ответе не забудь знак "-" перед знаком корня
Объяснение:
Приложения:
Похожие вопросы
Предмет: Английский язык,
автор: safarali
Предмет: Русский язык,
автор: malikafokina
Предмет: Английский язык,
автор: baranka341
Предмет: Математика,
автор: ясралнавашушколу
Предмет: География,
автор: Sonya112