Предмет: Алгебра,
автор: katelps1
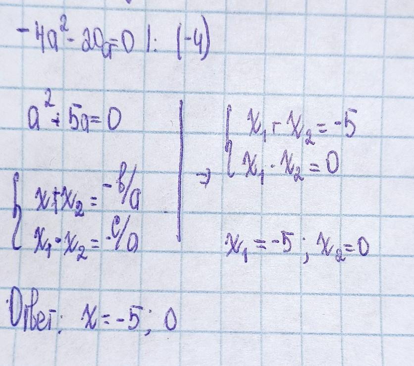
Решить по Виету
-4a^2-20a=0
Ответы
Автор ответа:
1
Объяснение:
Решение представлено на фото)
Приложения:
Похожие вопросы
Предмет: Қазақ тiлi,
автор: Дима251523
Предмет: Другие предметы,
автор: makhov20041
Предмет: Українська мова,
автор: юля931
Предмет: Английский язык,
автор: Flute1337
Предмет: Английский язык,
автор: Валеримия