Предмет: Алгебра, автор: surskovkirill91

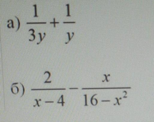
4. Выполните сложение и вычитание дробей:

a) Общий знаменатель и ответ в первом примере.


б)Общий знаменатель и ответ во втором примере.​

в текстовом виде

Приложения:

Ответы

Автор ответа: iraevakarina
0

Ответ:

 \frac{1}{3y}  +  \frac{1}{y}  =  \frac{4}{3y}  \\


kiraponomareva01: правильно?
iraevakarina: да
tiuleubaeva: не правильно.
iraevakarina: почему
Похожие вопросы
Предмет: Русский язык, автор: дддддааааяяянннааа
Предмет: Математика, автор: nusik84