Предмет: Информатика,
автор: 3353
Объясните, пожалуйста! Я не поняла тему.
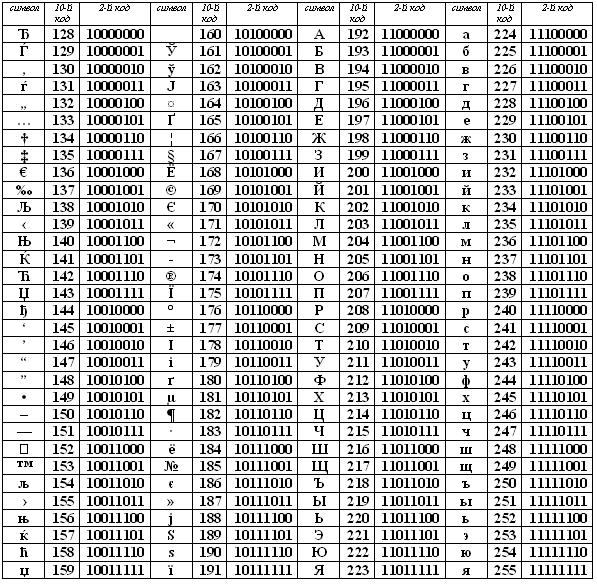
На информатике объясняли, как раскодировать какое-либо слово в ASCII.
Так вот объясните, пожалуйста, как раскодировать 110100 1101000 11110000.
В классе решали, получилось слово "мир".
Но я не поняла, как оно получилось.
Ответы
Автор ответа:
0
Посмотри точно ли ты записал(а) цифры
каждая буква кодируется 8 цифрами из 0 и 1
каждая буква кодируется 8 цифрами из 0 и 1
Приложения:
Похожие вопросы
Предмет: Физика,
автор: asiataliashabova
Предмет: Геометрия,
автор: nikstar3525
Предмет: Математика,
автор: zaikinaviktoria71
Предмет: Обществознание,
автор: angelino4ka2012