Предмет: Математика,
автор: blomfield
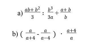
Упростите выражение:
ab+ b^2/3 ∶ b^3/3a + a+ b/b
a/a+4- a/a-4 ∙ a+4/a
Приложения:
graznyh08:
Прошууу пжж
Вот держи.
Ответы
Автор ответа:
9
Ответ:
Ответ на а и б на фото
Пошаговое объяснение:
Просто я тоже делала соч и пришлось сделать.
Приложения:
та я уже давно сделала
Спасибо спасибо большое
Похожие вопросы
Предмет: Русский язык,
автор: дима612
Предмет: Английский язык,
автор: Аноним
Предмет: Немецкий язык,
автор: YuliaVolk
Предмет: Русский язык,
автор: OleXteRGames
Предмет: Химия,
автор: Cveta03098