Предмет: Алгебра, автор: leomifis

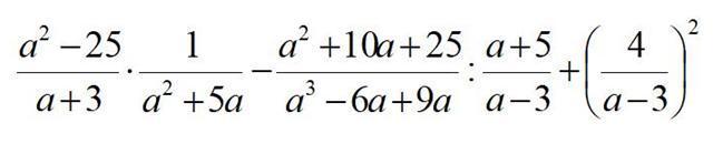
1) Упростите выражение:
2) Укажи правильный порядок решения.
Количество соединений: 6.

Умоляю помогите дам 25 баллов!!! ПОЖАЛУЙСТА

Приложения:

solovevmaksim853: ты сделал?
solovevmaksim853: плз скинь
solovevmaksim853: пжпжжпжпжпжпжпжпжпжжп
solovevmaksim853: ...
solovevmaksim853: пжжж чееел
leomifis: нет я не сделал вчера
leomifis: не кто не ответил
leomifis: там нереально
11kl567: ???

Ответы

Автор ответа: eldananagmetova25
1

это правильно это СОЧ ПО АЛГЕБРЕ

Приложения:

leomifis: Уже как 2 недели ненадо
Похожие вопросы
Предмет: Русский язык, автор: vik66
Предмет: Русский язык, автор: СоняУхмыленко
Предмет: Математика, автор: жика10