Предмет: Физика,
автор: defoltdedsec02
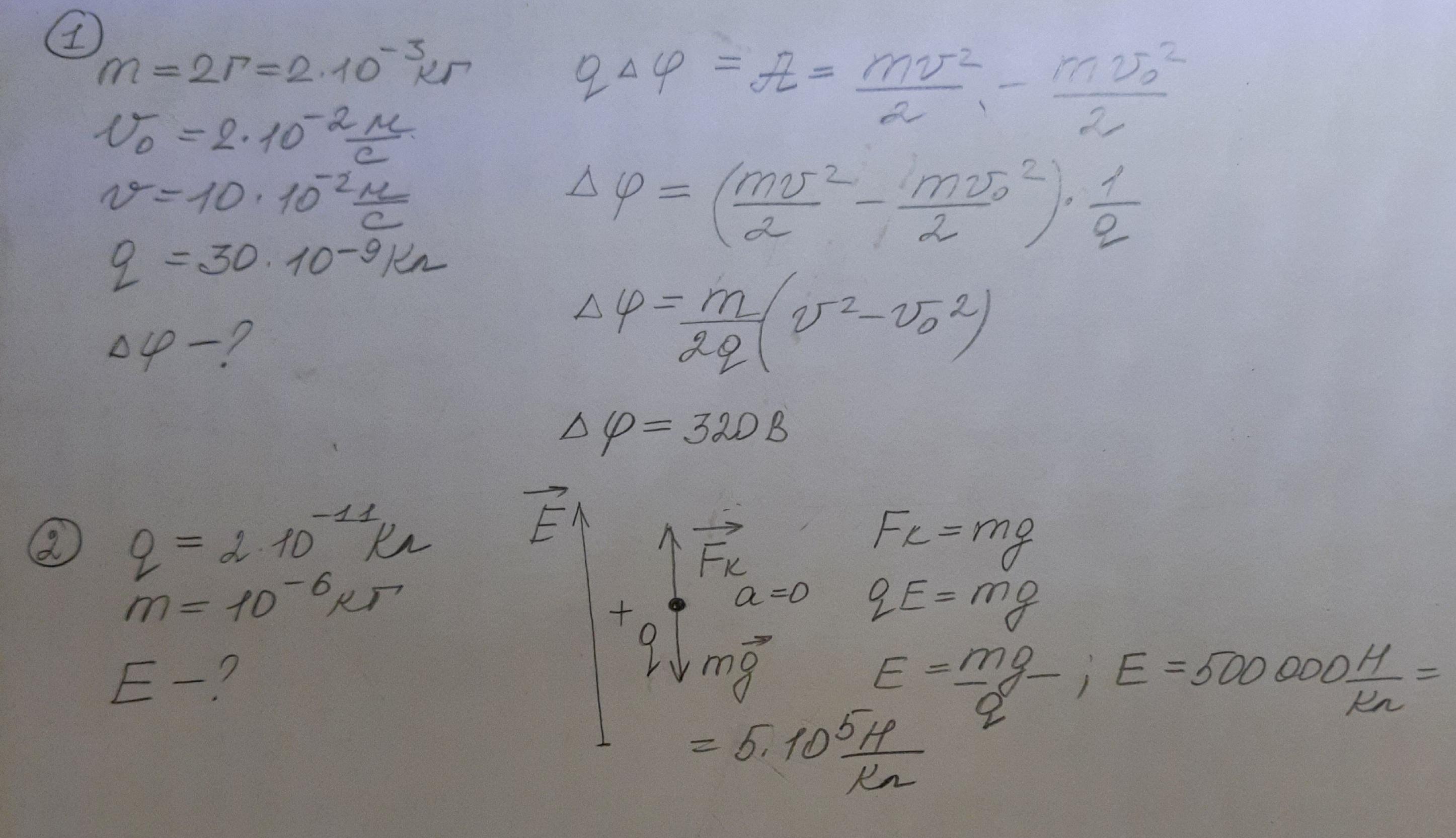
1)Скорость заряженной частицы массой 2 г в начальной точке движения 2 см/с, а в конечной 10 см/с. Определить разность потенциалов между этими точками, если заряд частицы 30 нКл.
2)В электрическом поле, вектор напряженности которого направлен вертикально вверх, неподвижно «висит» песчинка, заряд которой равен 2*10-11 Кл. Масса песчинки равна 10 -6 кг. Чему равен модуль вектора напряженности электрического поля?
defoltdedsec02:
Ребят, очень важно к завтрашнему утру, буду благодарен, максимальное количество баллов поставил!
Ответы
Автор ответа:
1
Ответ:
См. Фото
Объяснение:
Приложения:
Спасибо тебе огромное)
Похожие вопросы
Предмет: Русский язык,
автор: Lisaleonara
Предмет: Другие предметы,
автор: Элиночка111
Предмет: Русский язык,
автор: Ольга22082003
Предмет: Геометрия,
автор: dvahapova
Предмет: Қазақ тiлi,
автор: балжан15