Предмет: Физика,
автор: danila7991
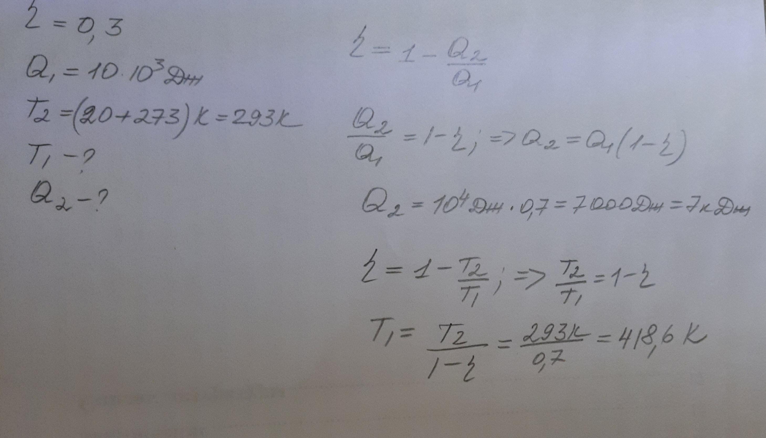
Дано:
Ню (КПД) = 30%
Q1 (количество теплоты, полученное от нагревателя) = 10 кДж
T2 (температура холодильника) = 20℃
Найти:
Т1 (температура нагревателя) = ?
Q2 (количество теплоты, отданное холодильнику) = ?
Ответы
Автор ответа:
11
Ответ:
7 кДж, 419 К; 146 ⁰C
Объяснение:
В системе Си абсолютная температура Т измеряется в К (кельвинах). Ответ представлен в кельвинах. Можно представить и в других единицах. В условии нет требования записать в градусах Цельсия. Конечный результат в градусах Цельсиях: 419-273=146⁰С.
Приложения:
danila7991:
Можешь пожалуйста подсказать как ты преобразовал формулы ню=1-Q1/Q2 и ню=1-T2/T1, именно как ты их получил?
Автор ответа:
13
Ответ:
Объяснение:
Дано:
η = 30% или η = 0,30
Q₁ = 10 кДж = 10 000 Дж
t₂ = 20⁰C; T₂ = 273+20 = 293 K
________________________
T₁ - ?
Из формулы
η = (T₁ - T₂)/T₁
η = 1 - T₂/T₁
T₂/T₁ = 1 - η
T₁ = T₂ / (1 - η) = 293 / (1-0,30) ≈ 419 К
t₁ = 419 - 273 = 146 °C
Аналогично:
η = (Q₁ - Q₂)/Q₁
η = 1 - Q₂/Q₁
Q₂/Q₁ = 1 - η
Q₂ = Q₁ · (1 - 0,30) = 10 000· 0,70 = 7 000 Дж или 7 кДж
Похожие вопросы
Предмет: Русский язык,
автор: AenaBelikova
Предмет: Русский язык,
автор: Аноним
Предмет: Английский язык,
автор: Сабинушка
Предмет: Математика,
автор: Привет1111777
Предмет: Химия,
автор: дениснасимов