Предмет: Геометрия,
автор: wwwklim72
Помогите решить задачи по геометрии. с чертежами! Плизз
Приложения:
Ответы
Автор ответа:
1
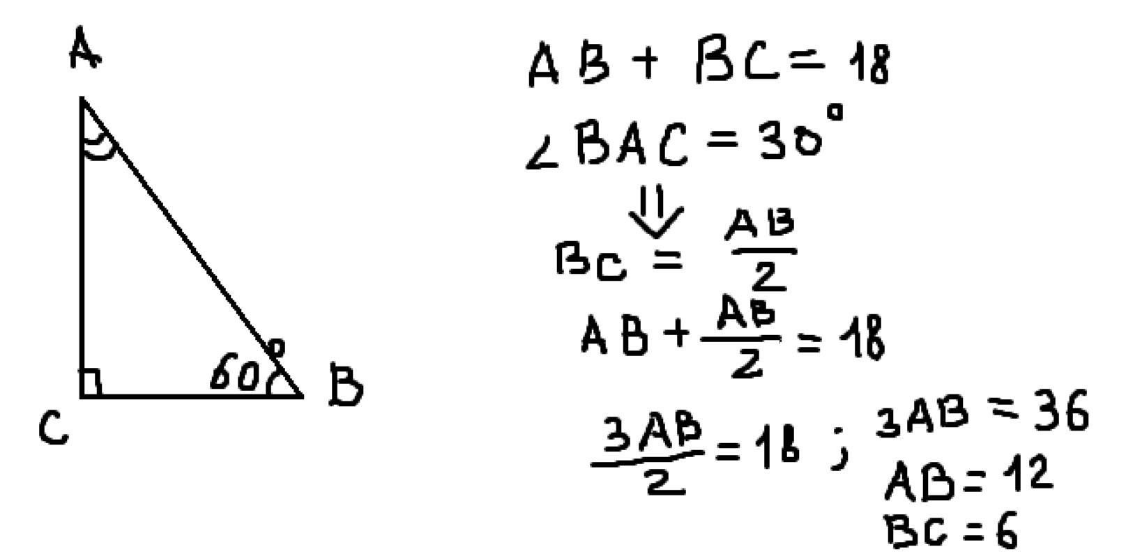
Ответ: на картинках ниже.
Приложения:
wwwklim72:
спасибо большое
Похожие вопросы
Предмет: Окружающий мир,
автор: tsyrelchuk
Предмет: Русский язык,
автор: Lodonazrin
Предмет: Русский язык,
автор: olesya409
Предмет: Русский язык,
автор: sanyaCher
Предмет: Математика,
автор: nasssstasik