Предмет: Математика, автор: sholpanmukhtar2009

РЕШИТЕ ПОЖАЛУЙСТА, МЕТОДОМ СЛОЖЕНИЯ! ПОЖАЛУЙСТА НА ТЕТРАДИ! ДАЮ 40 БАЛЛОВ​

Приложения:

Ответы

Автор ответа: Пеппер
2

Ответ:

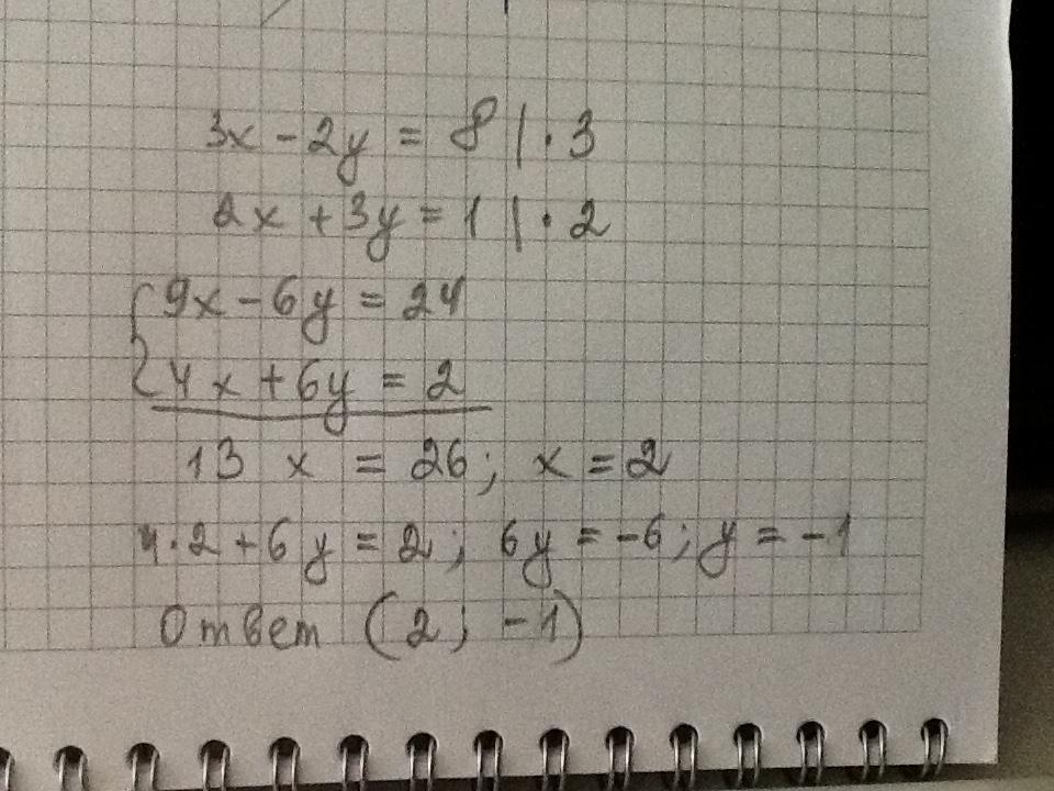
(2; -1)

Пошаговое объяснение:

Приложения:

azrehimova: можете помочь с французким?
Похожие вопросы
Предмет: Русский язык, автор: irakruglova98
Найдите ошибки в предложениях, предложите правильный вариант каждой фразы. Помогите, пожалуйста!!!
1. Приезжая в Петербург, Хлебников стал вести тяжелую, полуголодную жизнь.
2. Евгений Базаров, приезжая погостить к Аркадию Кирсанову, натыкается там на дядю Аркадия...
3. Прочитав повесть Быкова, меня в первую очередь поразил сам сюжет.
4. Провожая сына на войну, по его щеке медленно катится слеза.
5. Будучи совсем молоденькой девушкой, к Татьяне пришла пора любви.
6. Читая пьесу, Лариса мне очень понравилась.
7. Читая поэму, осознается простая истина, сколько бы человек ни накопил за свою жизнь, важнее всего не растратить те чистые помыслы и благие намерения, ради которых мы стремились, достигая цели.
8. Листая сегодня поэму «Мертвые души», возникают некоторые соображения, а не является ли это произведение актуальным в наше время, не видим ли мы в себе чуточку Чичикова, Собакевича или Манилова, а может быть в нас где-то скрылся Плюшкин.
9. Анализируя Чичикова, его взгляды на жизнь, его внешность, его поведение с людьми, прослеживается путь одинокого человека, с раннего возраста привыкшего демонстрировать свою независимость и способность самостоятельно зарабатывать себе на жизнь.
10. Раскрывая и конкретизируя образы героев возникает неотъемлемое желание разграничить всех персонажей на расточителей и накопителей.