Предмет: Математика,
автор: Аноним
Помогите пожалуйста
Приложения:
Ответы
Автор ответа:
0
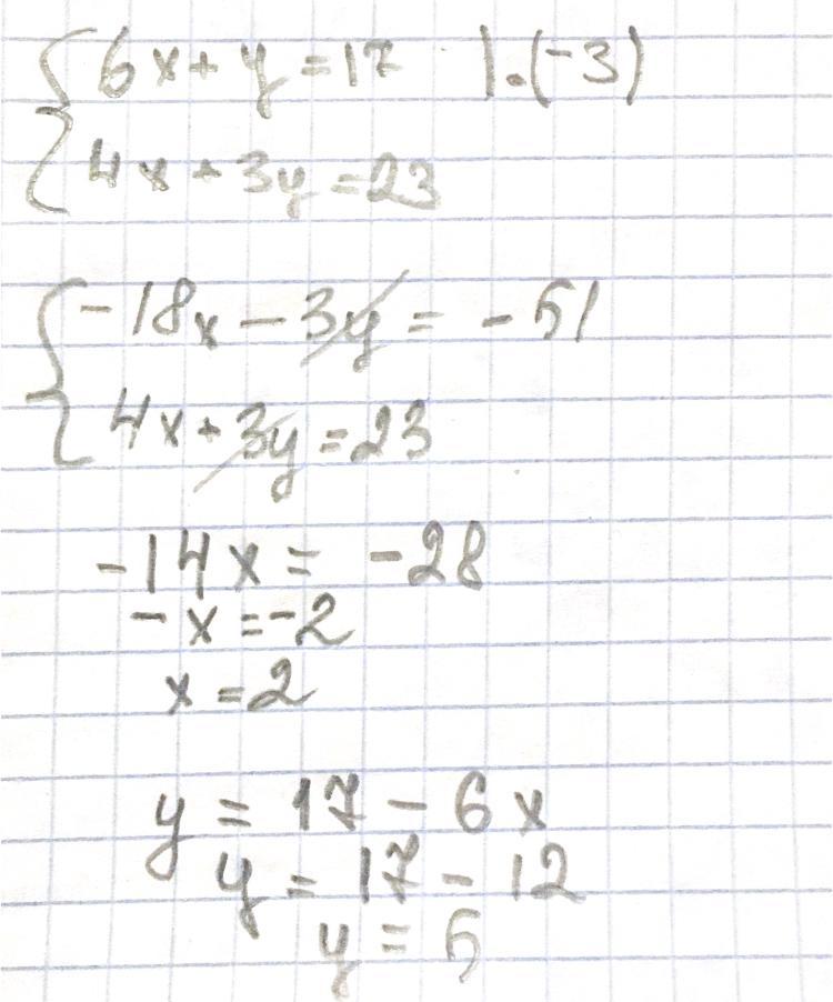
Ответ:
Пошаговое объяснение:
решение на фото
Приложения:
tkachenkok486:
Помогите мне с физикой
Похожие вопросы
Предмет: Русский язык,
автор: Аноним
Предмет: Английский язык,
автор: undofor228
Предмет: Другие предметы,
автор: Аноним
Предмет: Английский язык,
автор: Artem17171