Предмет: Математика,
автор: sonewka17
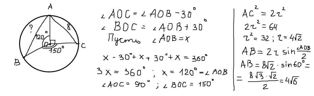
О-центр окружности. ОА, ОВ и ОС - радиусы. ∠АОВ на 30° больше ∠АОС, а ∠ВОС на 30° больше ∠АОВ. Причем сумма всех трех углов равна 360°. Найдите хорду АВ, если АС=8 см.
Ответы
Автор ответа:
2
Ответ: 4, решение ниже.
Надеюсь, нигде не ошиблась.
Приложения:
Похожие вопросы
Предмет: Русский язык,
автор: Kristinka20161
Предмет: Немецкий язык,
автор: sav2001ls
Предмет: Русский язык,
автор: РенаКОСЫРЕВА
Предмет: Английский язык,
автор: ludarudenko98