Предмет: Математика,
автор: pomogitiplzzz
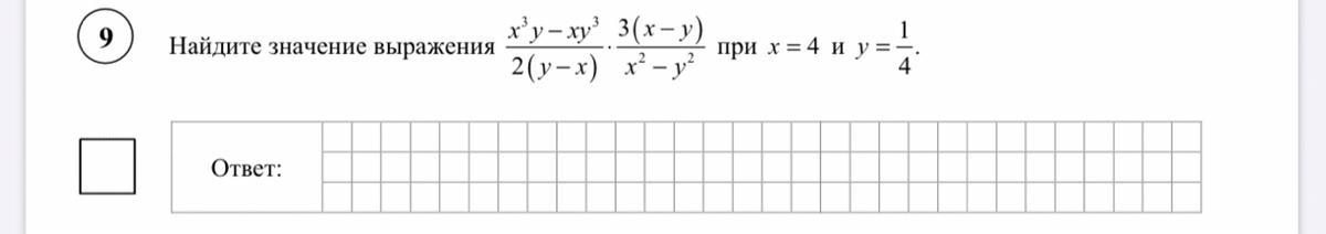
Помогите пожалуйста!!!!
Приложения:
Ответы
Автор ответа:
1
Ответ:
Смотри решение на фото
Приложения:
Похожие вопросы
Предмет: Русский язык,
автор: mashykg
Предмет: Русский язык,
автор: сашамама2005
Предмет: Английский язык,
автор: macks4
Предмет: Английский язык,
автор: Торежан12
Предмет: Биология,
автор: mishashylzhenk