Предмет: Математика,
автор: ustugovam2
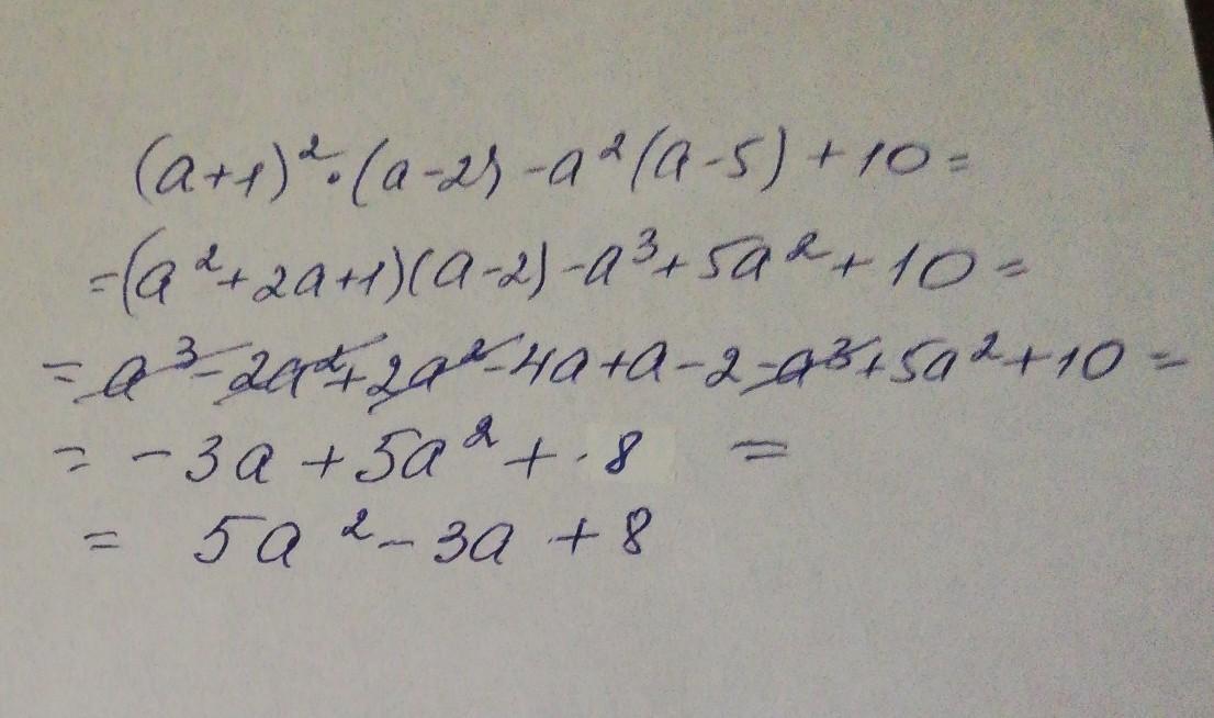
(а+1)^2•(а-2)-а^2(а-5)+10 представить в виде многочлена
Ответы
Автор ответа:
1
Ответ:
Смотри решение на фото
Приложения:
Похожие вопросы
Предмет: Окружающий мир,
автор: voroncovaolga
Предмет: Русский язык,
автор: tomycorporation
Предмет: Английский язык,
автор: vanin2002
Предмет: Русский язык,
автор: Arifchik2004
Предмет: Французский язык,
автор: Жания27