Предмет: Математика,
автор: maxim6opalov
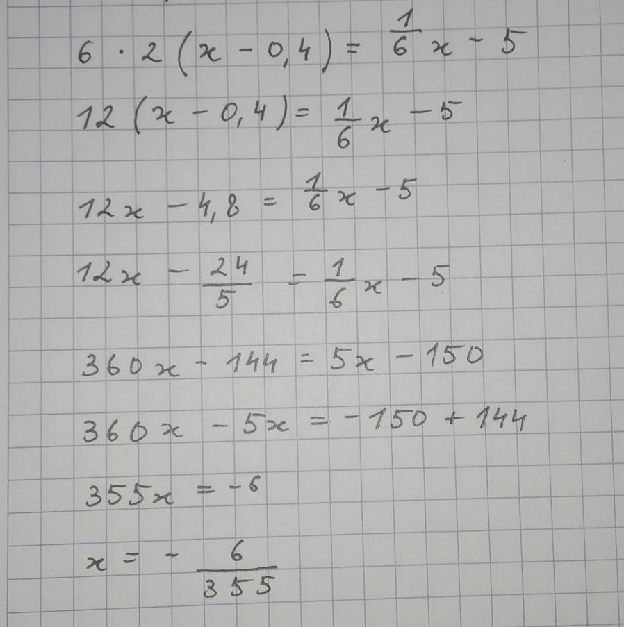
6*2(x-0.4)=1|6x-5
| ето дробь
Ответы
Автор ответа:
0
Решение показано на фото .
Ответ:
x= -6/355
Приложения:
Похожие вопросы
Предмет: Русский язык,
автор: ann233
Предмет: Литература,
автор: mestece
Предмет: Русский язык,
автор: Аринанаgf
Предмет: Алгебра,
автор: Незнакомец181
Предмет: Русский язык,
автор: истс