Предмет: Алгебра,
автор: podumeevs69
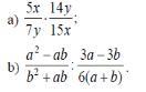
Выполните умножение и деление алгебраических дробей
Приложения:
Ответы
Автор ответа:
1
1) надо просто сократить ⅔
2) на фотографии
Приложения:
Похожие вопросы
Предмет: Математика,
автор: sergeiarbatov
Предмет: Окружающий мир,
автор: larisadan1
Предмет: Русский язык,
автор: wwwAzerboy931
Предмет: Литература,
автор: schoolaz