Предмет: Алгебра,
автор: detkamoroz84
Помогите решить
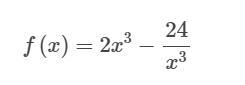
h(x)=2x^3-24x/x^4
detkamoroz84:
Точнее найдите производную
Ответы
Автор ответа:
0
ответ в фото
Объяснение:
Приложения:
Похожие вопросы
Предмет: Русский язык,
автор: павлюк2
Предмет: Русский язык,
автор: rori68
Предмет: Русский язык,
автор: saydashas
Предмет: Геометрия,
автор: ehmedovaga
Предмет: Математика,
автор: 19852305