Предмет: Алгебра,
автор: germanmalarenko82
срочно помогите легко!!
Приложения:
Ответы
Автор ответа:
1
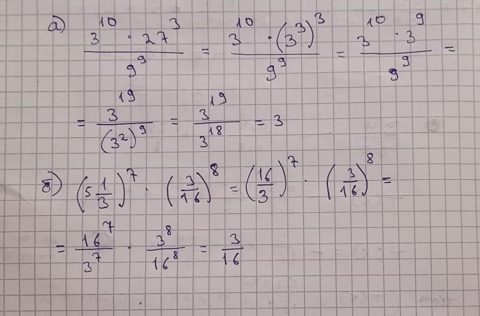
Ответ:
........................
Приложения:
Похожие вопросы
Предмет: Русский язык,
автор: demondmit
Предмет: Другие предметы,
автор: Lerik3kasmail
Предмет: Математика,
автор: zayka829
Предмет: Геометрия,
автор: rektboy
Предмет: Английский язык,
автор: dikosy1