Предмет: Математика, автор: zastrelitsa

Решите уравнение
Уравнение прикреплено ниже

Приложения:

Ответы

Автор ответа: Аноним
1

Ответ:

В объяснении.

Пошаговое объяснение:

фото !!!!!!!!!!!!

Приложения:
Автор ответа: wafel
1

Ответ:

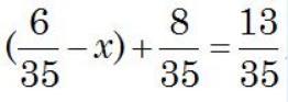
( \frac{6}{35}  - x) +  \frac{8}{35}  =  \frac{13}{35}  \\  \frac{6}{35}  - x +  \frac{8}{35}  =  \frac{13}{35}  \\  \frac{2}{5}  - x =  \frac{13}{35}  \\  - x =  \frac{13}{35}  -  \frac{2}{5}  \\  - x =  -  \frac{1}{35}  \\ x =  \frac{1}{35}

Похожие вопросы
Предмет: Русский язык, автор: АлНе