Предмет: Алгебра,
автор: Milkm1
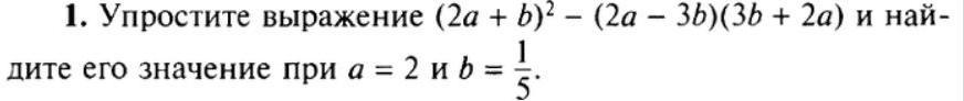
Помогите пожалуйста.
Приложения:
Ответы
Автор ответа:
0
Объяснение:
....................
Приложения:
Похожие вопросы
Предмет: Русский язык,
автор: дина61
Предмет: Русский язык,
автор: ОмилХон
Предмет: Английский язык,
автор: bo4ckowmax
Предмет: Математика,
автор: elieli89
Предмет: Алгебра,
автор: Никуся74739