Предмет: Математика,
автор: svetik339633
решите системы уравнений способом подстановки. Пожалуйста!!!
Приложения:
Ответы
Автор ответа:
1
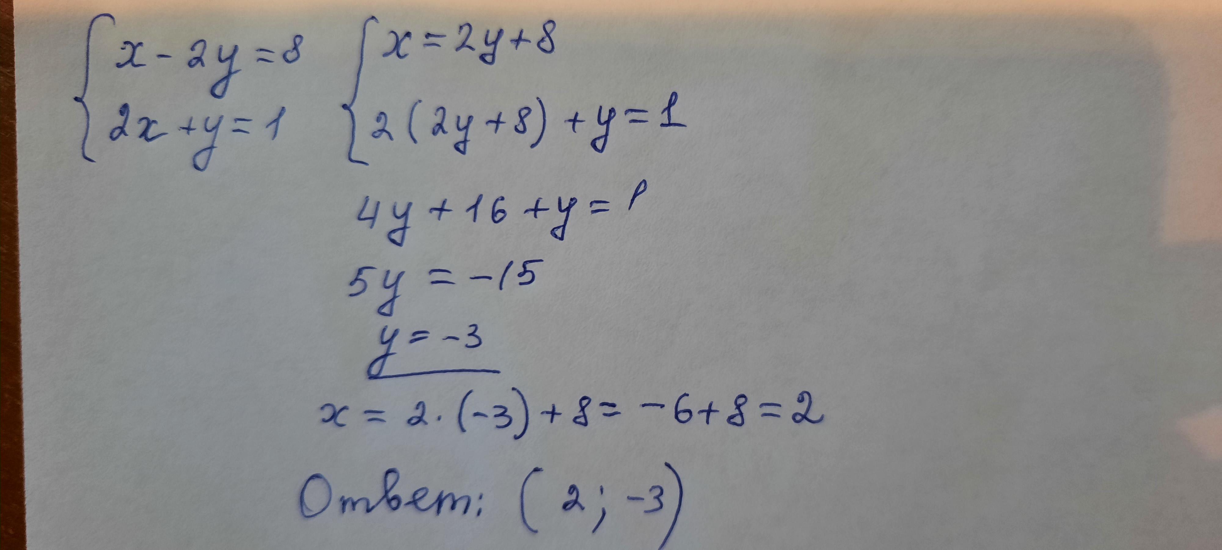
Ответ: решение системы (2; -3)
решение скидываю на фото
Приложения:
Похожие вопросы
Предмет: Английский язык,
автор: Алина88005553535
Предмет: Английский язык,
автор: АлёнаПопова1
Предмет: Английский язык,
автор: 4774qq
Предмет: Немецкий язык,
автор: sasha2005k1
Предмет: Математика,
автор: Аноним