Предмет: Математика,
автор: n7ji1
срочно прошу!!умоляю пожалуйста
Приложения:
Ответы
Автор ответа:
0
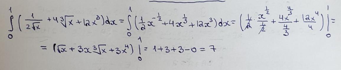
Ответ:
решение на фотографии.
Приложения:
Похожие вопросы
Предмет: Русский язык,
автор: анжелика138
Предмет: Окружающий мир,
автор: Вика831
Предмет: Русский язык,
автор: RubtsovaDaasha
Предмет: Русский язык,
автор: Lezginka01
Предмет: История,
автор: gusumov2005