Предмет: Алгебра,
автор: aqz92396
помогите с пятым пж пж пж
Приложения:
Ответы
Автор ответа:
1
Ответ:
Объяснение:
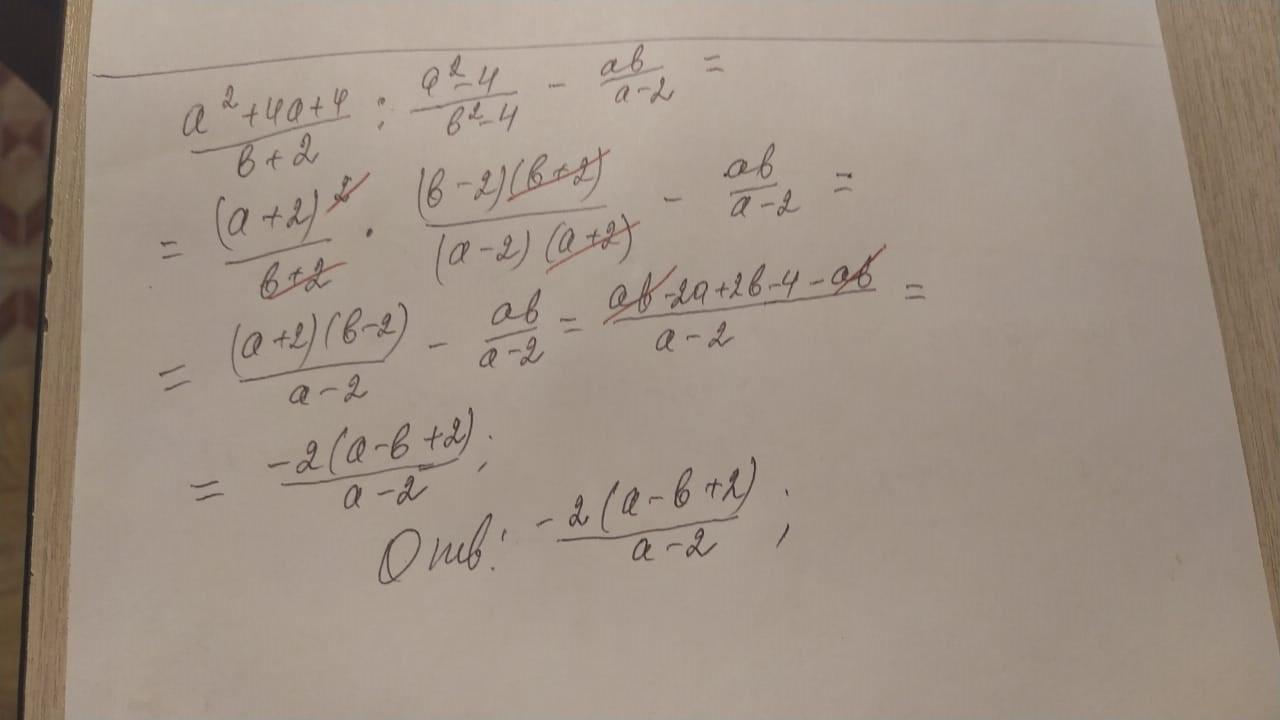
(a²+4a+4)/(b+2) : (a²-4)/(b²-4) – ab/(a-2)=
=(a+2)²/(b+2) * (b-2)(b+2) / (a-2)(a+2) –ab/(a-2)=(a+2)(b-2)/(a-2) - ab/(a-2)=
=(ab-2a+2b-4-ab)/(a-2)=(-2a+2b-4)/(a-2)=-2(a-b+2)/(a-2)
aqz92396:
спасибо
Автор ответа:
1
Ответ: приложен
Объяснение:
Приложения:
Похожие вопросы
Предмет: Английский язык,
автор: 2180232
Предмет: Английский язык,
автор: сонямоняпоня
Предмет: Русский язык,
автор: котомототруляля
Предмет: Русский язык,
автор: Samlit2018
Предмет: Физика,
автор: Elara