Предмет: Алгебра,
автор: rizazadelejla
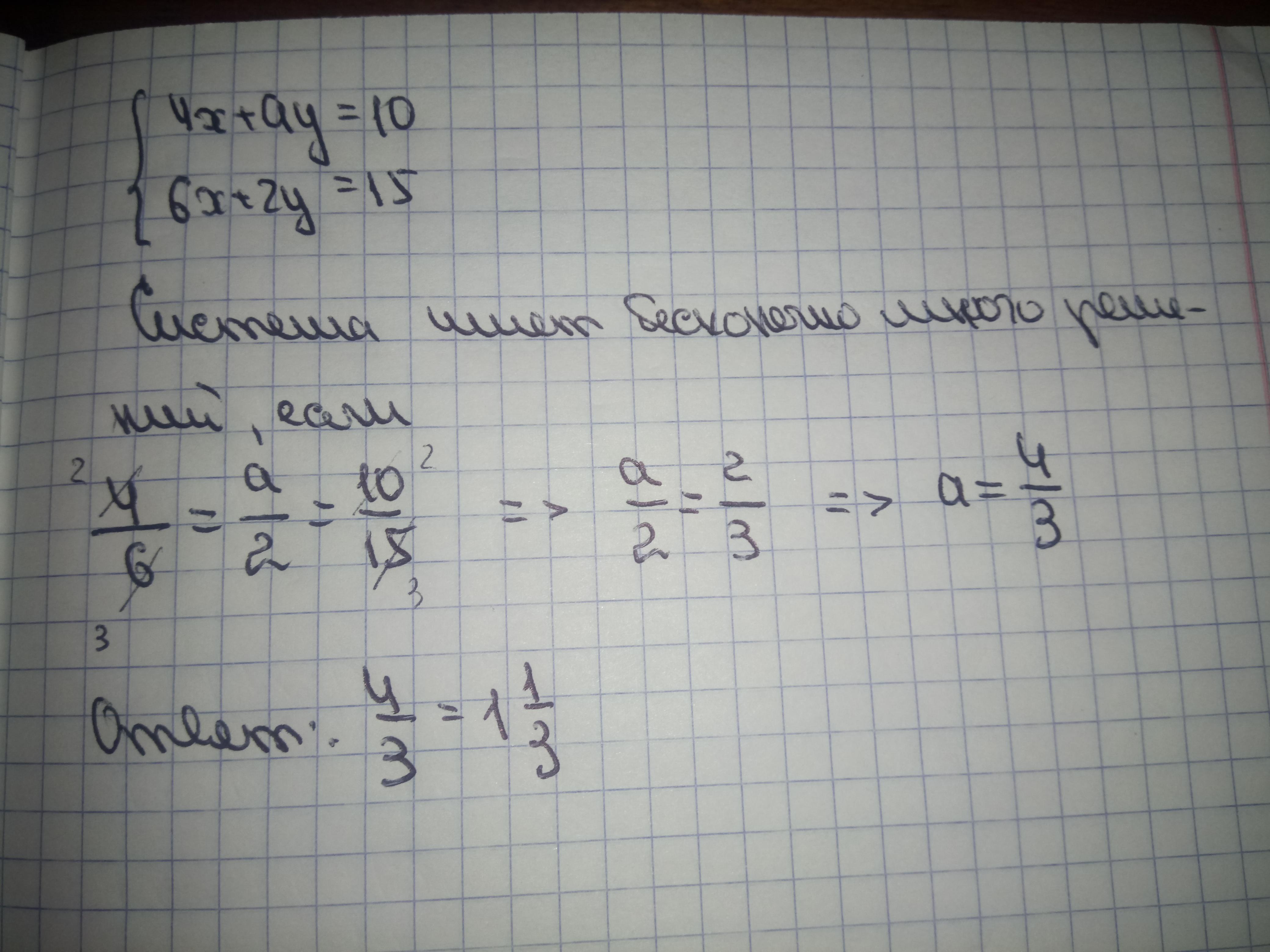
При каком значении а система уравнений
4х + ay = 10
имеет бесконечно много
6x + 2y =15
решений?
Ответы
Автор ответа:
1
Ответ 4/3
Решение задания прилагаю
Приложения:
rizazadelejla:
СПАСИБОООО
Похожие вопросы
Предмет: Русский язык,
автор: милашка1113
Предмет: Английский язык,
автор: nataevdokimova
Предмет: Немецкий язык,
автор: Bibochka
Предмет: Математика,
автор: Екатерина3741
Предмет: Английский язык,
автор: tomiriskostana