Предмет: Алгебра,
автор: khorosij881
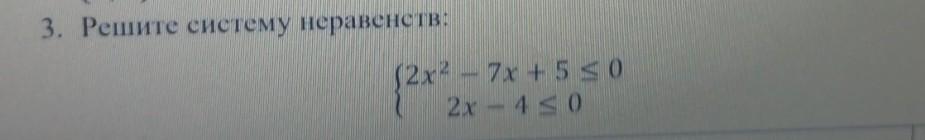
помогите пожалуйста срочно
Приложения:
Ответы
Автор ответа:
1
Ответ:
Объяснение:
!!!!!!!!!!!!!!!!!!!!!!!!!
Приложения:
Похожие вопросы
Предмет: Немецкий язык,
автор: МудрыйКолобок105
Предмет: Литература,
автор: ОРКСЭ1
Предмет: Русский язык,
автор: ozodbeksaparov
Предмет: Русский язык,
автор: Binaz5555