Предмет: Алгебра,
автор: wertunto20
Помогите пожалуйста с заданием по алгебре.
Приложения:
Ответы
Автор ответа:
1
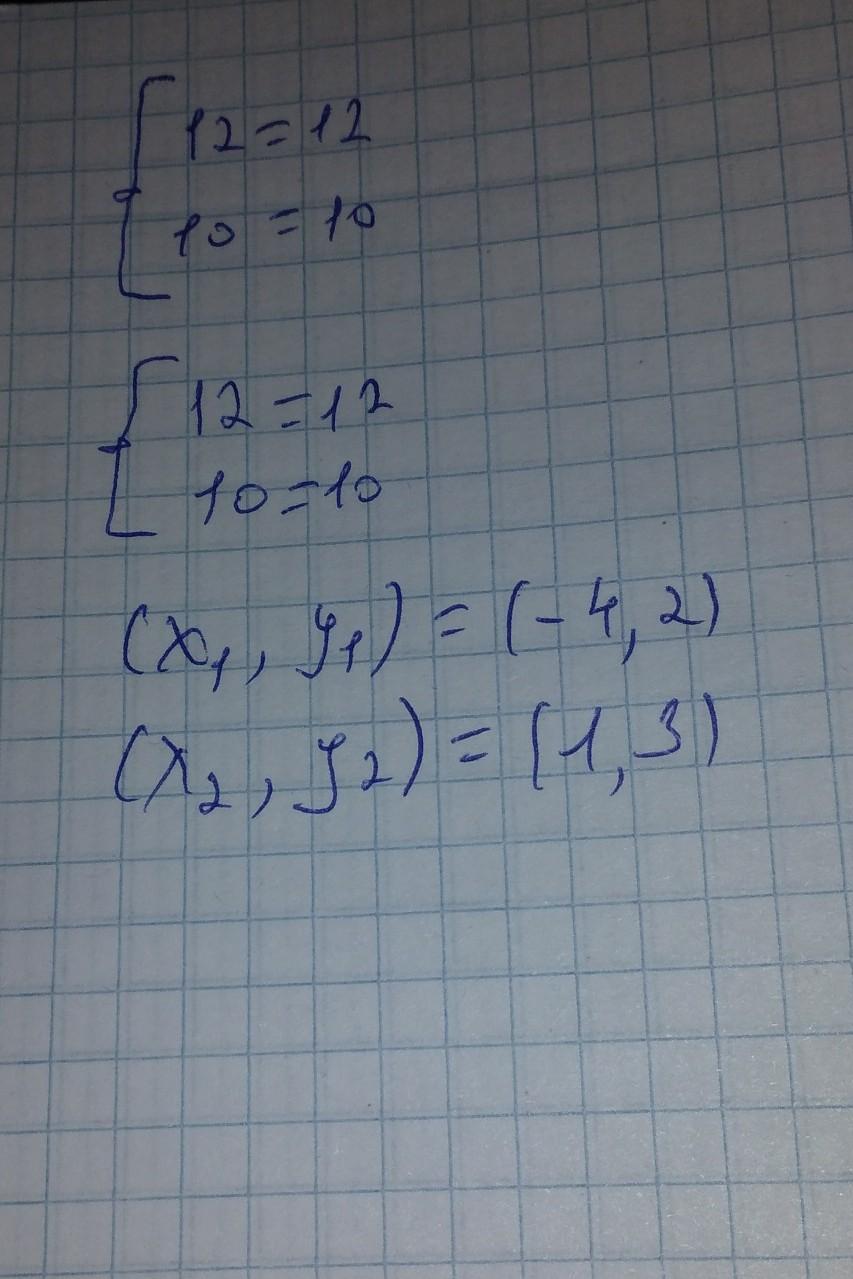
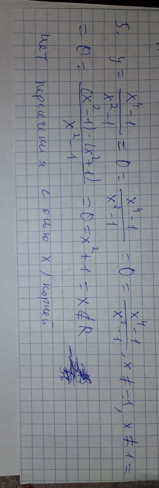
Ответ:
Я украинский не знаю так то зделала что смогла
Приложения:
Похожие вопросы
Предмет: Английский язык,
автор: tanyshka004
Предмет: Русский язык,
автор: Аноним
Предмет: Русский язык,
автор: yousei1234
Предмет: Математика,
автор: dianaaap2004
Предмет: Литература,
автор: 0672940562