Предмет: Математика,
автор: lina207522
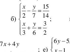
помогите пожалуйста напишите на листочке чтоб было понятно
надо именно системой сложения
Приложения:
Ответы
Автор ответа:
0
Решение задания прилагаю
Приложения:
Похожие вопросы
Предмет: Математика,
автор: 02231
Предмет: Русский язык,
автор: ira1962
Предмет: Другие предметы,
автор: яПроСтоНастя
Предмет: Окружающий мир,
автор: Тормо3