Предмет: Алгебра,
автор: MadamGogolina
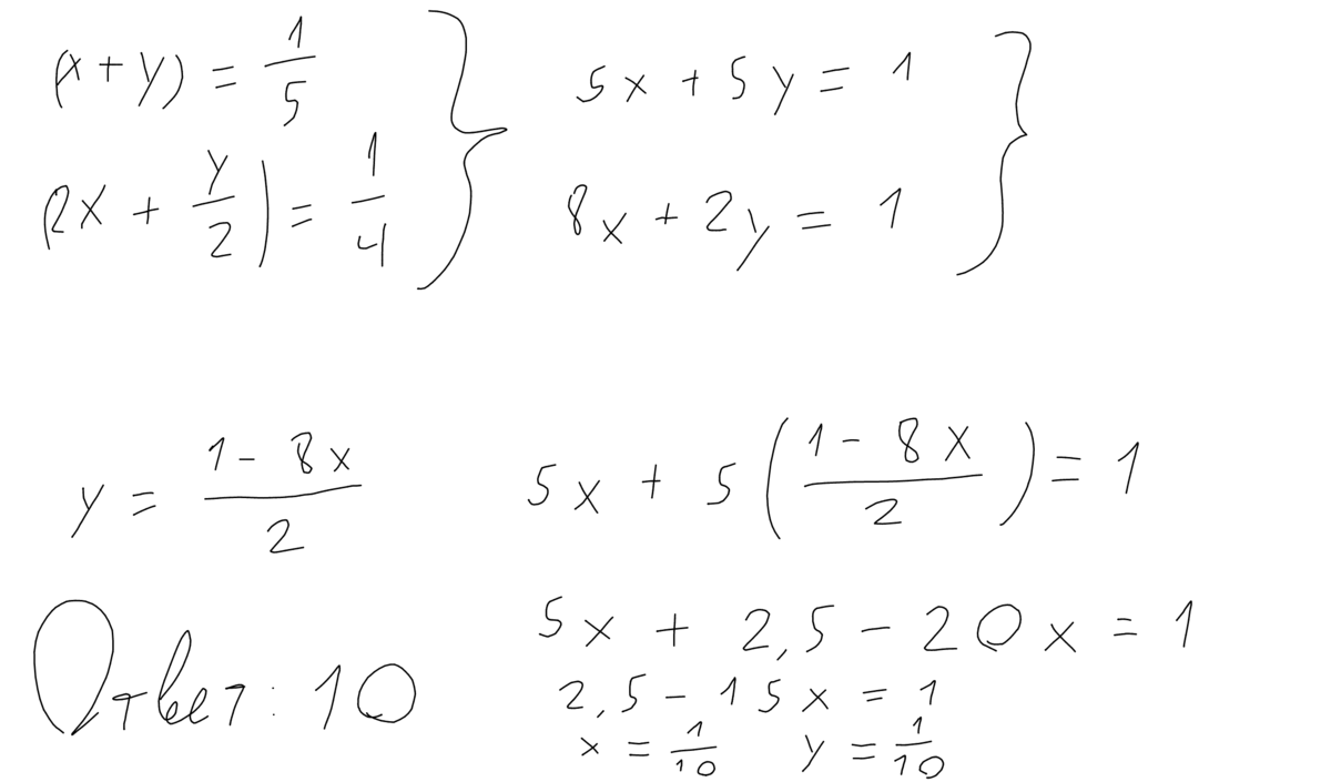
Двое рабочих выполнили задание за 5 дней ,работая одновременно . если бы первый рабочи работал в 2 раза быстрее.а второй в 2 раза медленнее ,то они выполнили бы задание за 4 дня. За сколько дней выполнил бы задание один первый рабочий?
Ответы
Автор ответа:
0
Решение и ответ на фото
Приложения:
Похожие вопросы
Предмет: Геометрия,
автор: cvv0
Предмет: Математика,
автор: nr37rus
Предмет: Русский язык,
автор: ospanovagulzira68
Предмет: Алгебра,
автор: Natashka123453
Предмет: География,
автор: shas